齿轮参数的计算_齿轮参数计算公式
节圆柱上的螺旋角:
基圆柱上的螺旋角:
齿厚中心车角:
销子直径:
中心距离增加系数:
一、标准正齿轮的计算(小齿轮①,大齿轮②)
1.齿轮齿 标准
2.工齿齿形 直齿
3.模数 m
4. 压力角
5.齿数
6.有效齿深
7.全齿深
8.齿顶隙
9.基础节圆直径
10.外径
11.齿底直径
12.基础圆直径
13.周节
14.法线节距
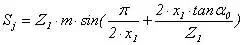
15.圆弧齿厚
16.弦齿厚
17.齿轮油标尺齿高
18.跨齿数
19.跨齿厚
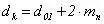
20.销子直径
21.圆柱测量尺寸
(偶数齿)
(奇数齿)
其中,
二、移位正齿轮计算公式(小齿轮①,大齿轮②)
1.齿轮齿形 转位
2.工具齿形 直齿
3. 模数
4.压力角
5.齿数
6.有效齿深
7.全齿深
或
8.齿隙
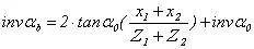
9.转位系数
10.中心距离
11.基准节圆直径
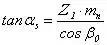
12. 啮合压力角
13.啮合节圆直径
14.外径
15.齿顶圆直径
16.基圆直径
17.周节
18.法线节距
19.圆弧齿厚
20.弦齿厚
21.齿轮游标尺齿高
22.跨齿数
23.跨齿厚
24.梢子直径
25.圆柱测量尺寸
(偶数齿)
(奇数齿)
三、标准螺旋齿的计算公式(齿直角方式)(小齿轮①,大齿轮②)
1.齿轮齿形 标准
2.齿形基准断面 齿直角
3.工具齿形 螺旋齿
4.模数
5.压力角
6.齿数
7.螺旋角方向
(左或右)
8.有效齿深
9.全齿深
10.正面压力角
11.中心距离
12.基准节圆直径
13.外径
14.齿底圆直径
15.基圆直径
16.基圆上的螺旋角
17.导程
18.周节(齿直角)
19.法线节距(齿直角)
20. 圆弧齿厚(齿直角)
21.相当正齿轮齿数
22. 弦齿厚
23.齿轮游标尺齿深
24.跨齿数
25.跨齿厚
26.梢子直径
其中,
27.圆柱测量尺寸
(偶数齿)
(奇数齿)
28. 齿隙
四、移位螺旋齿的计算公式(齿直角方式)(小齿轮①,大齿轮②)
1.齿轮齿形 移位
2.齿形基准断面 齿直角
3.工具齿形 螺旋齿
4.模数(齿直角)
5.压力角(齿直角)
6.齿数
7.螺旋方向
8.有效齿深
9.全齿深
10. 移位系数
11.中心距离
12.正面模数
13.正面压力角
14. 相当正齿轮齿数
15. 齿直角啮齿压力角
16. 基准节圆直径
17.外径
18.啮齿节圆直径
19. 基圆直径
20.基础圆柱上的螺旋角
21.圆弧齿厚
22. 弦齿厚
23. 齿轮游标尺齿高
24.跨齿数
25.跨齿厚
26.销子直径
27.圆柱测量尺寸
(偶数齿)
注:齿隙 f=m 1.25 以下 0.025-0.075
m 1.25-2.5 0.05-0.10


返回顶部
刷新页面
下到页底