在实际生活中经常会遇到同时输入两个或两个以上编码信号的情况。例如,同时按下计算机键盘上的两个按键。如果计算机键盘内的编码器是前面所讲的普通编码器,当同时按下两个按键时,键盘内的编码器将不能对这种输入状态进行编码,会出现错误的信息。这种错误信息有时会出现致命的后果。为了使这种输入状态出现时编码企业有确定的输出信号输出,便出现了优先编码器。
优先编码器允许同时输入两个以上的编码信号,编码器对所有输入的信号规定了优先顺序,当多个输入信号同时出现时,只对其中优先级最高的一个进行编码。
74LS148是集成8-3线优先编码器产品,下面对该优先级编码器的电路结构、工作原理及使用方法进行介绍。
图1给出了8-3线优先编码器74LS148的逻辑图。
![]() |
| 图1 8.3线优先编码器74LS148的逻辑图 |
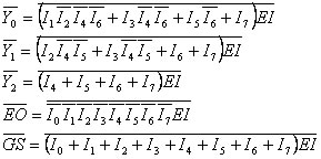
根据逻辑电路可以写出输出与输入变量之间的逻辑函数式为
|
|
(1) |
从式(1)可以看出,当
=1时,编码输出端
、
、
均被锁定在高电平状态,只有在
=0的条件下,编码器才能正常工作。故
为控制端,又称选通输入端,且为低电平有效。
根据式(1)可以列出优先那编码器74LS148的逻辑功能,如表1所示。
表1 74LS148逻辑功能表
| 输入 | 输出 | ||||||||||||
| I0 | I1 | I2 | I3 | I4 | I5 | I6 | I7 | Y2 | Y1 | Y0 | |||
| 1 | × | × | × | × | × | × | × | × | 1 | 0 | 1 | 1 | 1 |
| 0 | 1 | 1 | 1 | 1 | 1 | 1 | 1 | 1 | 1 | 0 | 1 | 0 | 1 |
| 0 | × | × | × | × | × | × | × | 0 | 0 | 0 | 0 | 1 | 0 |
| 0 | × | × | × | × | × | × | 0 | 1 | 0 | 0 | 1 | 1 | 0 |
| 0 | × | × | × | × | × | 0 | 1 | 1 | 1 | 1 | 0 | 1 | 0 |
| 0 | × | × | × | × | 0 | 1 | 1 | 1 | 1 | 1 | 1 | 1 | 0 |
| 0 | × | × | × | 0 | 1 | 1 | 1 | 1 | 0 | 1 | 0 | 1 | 0 |
| 0 | × | × | 0 | 1 | 1 | 1 | 1 | 1 | 0 | 1 | 1 | 1 | 0 |
| 0 | × | 0 | 1 | 1 | 1 | 1 | 1 | 1 | 1 | 0 | 0 | 1 | 0 |
| 0 | 0 | 1 | 1 | 1 | 1 | 1 | 1 | 1 | 1 | 0 | 1 | 1 | 0 |
在表1中,符号“×”表示任意状态(0或1,即输入端有无信号)。从表1可以看出,优先编码器74LS148的逻辑功能具有以下特点:
(1)控制端
=1时,无论输入端有无信号,输出端都被锁定在高电平,编码器不工作;只有当控制端
=0时,编码器才能正常工作,所以控制端为低电平有效。
(2)编码器输出端
、
、
对应输入端
~
的低电平状态,即输入端为低电平时认为该输入端有编码输入信号,所以输入端也是低电平有效。
(3)在
=0的状态下,允许输入端
~
中有多个输入端为低电平状态(即有编码器输入信号),但编码输出端在同一个时刻只对一个编码输入信号进行编码输出。即输入端的编码输入信号具有优先级。从表5-5-3中可以看出,74LS148优先编码器的输入端中
的优先级最高,
的优先级最低。当
=0时,无论其他输入端有无信号。输出端只给出
的编码,即![]()

=0,其他依次类推。
(4)只有当控制端
=0(编码器处于工作状态),且所有的编码输入端
~
都是高电平(即都没有编码输入信号时)选通输出端
为低电平。因此
=0表示编码器工作,但输入端没有编码信号输入。因为
=0能确定编码器的状态,因此又称选通输出端低电平有效。
(5)当控制端
=0(编码器处于工作状态),且编码器输入端有编码信号输入(低电平)时,扩展输出端
输出低电平。因此
=0表示编码器工作,且有编码信号输入。因为
=0能确定编码器的状态,因此又称扩展输出端低电平有效。
(6)从表1中可以看出,编码器有3种![]()

=111的状态,可以根据选通输出
和扩展输出
的状态区分此时编码器的工作状态。
=0表示编码器工作但没有编码信号输入,此时![]()

=111;
=0表示编码器工作且有编码信号输入,所以此时![]()

=111表示
=0的编码;
=1且
=1编码器没有工作,此时![]()

=111。
图2所示为优先编码器74LS148的逻辑图形符号。图中输入、输出端靠近边框的小圆圈表示低电平有效,且相应的字母符号上有一短画线。
![]() |
| 图2 74LS148逻辑符号 |
因为74LS148优先编码器由8个编码输入信号、3个编码输出端信号,因此又称为8-3线优先编码器。





返回顶部
刷新页面
下到页底