脉宽调制器(PWM)常常用在开关电源(稳压)中,要使开关电源稳压范围宽(即输入电压范围大),可利用555定时器构成宽范围PWM。
仅需把一个二极管和电位计添加到异步模式运转的555定时器上,就产生了一个带有可调效率系数为1%到99%的脉宽调制器(图1)。它的应用包括高功率开关驱动的电动机速度控制。
图1:在555定时器电路中增加一个二极管和电位计可构成一个宽范围PWM
这个电路的输出可以驱动MOSFET去控制通过电动机的电流,达到平滑控制电动机速度90%左右。这也应用于灯光的控制,灯光的强度可得以有效控制。
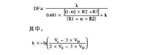
另一个应用是在开关式电源。PWM调整允许一个可变的输出电压。可通过555定时器(5个引脚)VC终端的反馈来调节电压。一个超过调节阈值限制的输出电压将提前结束基于周期循环的PWM信号,以维持输出电压的稳定。微处理器可以通过数字电位计直接调节PWM去控制电动机速度、灯光强度或者电源输出电压。对于周期因子(DF):

而a是终端2和终端1之间电阻与终端3和终端1之间电阻的比值。选R3=R1,R2=100&TImes;R1,这时DF为1%至99%。如上所述,数字电位计可以代替R2。通过的电流有限是在该应用中使用数字电位计的主要约束。对于一个100kΩ的数字电位计,R1和R3可以达到1kΩ,则峰值电流为5mA。
标准二极管可在递减线性下当作D来使用。对于理想的二极管,k=0.693,则有:

DF和α之间为线性关系。图2显示了当α变化时VOUT的波形。


返回顶部
刷新页面
下到页底