高斯随机过程又称为正态随机过程,它是一种在通信系统中普遍存在的和十分重要的随机过程。一般情况下,通信信道中的噪声都可以认为是高斯过程。
一、高斯随机变量与高斯随机过程
1.定义
若随机过程
的任意
维
分布都服从高斯分布,则称
为高斯过程。
2.高斯过程的性质
(1)若干个高斯过程的和仍然是高斯过程。
(2)如果一个高斯过程是广义平稳的,则也是狭义平稳的。
(3)如果高斯过程中的随机变量之间互不相关,则它们是统计独立的。
(4)高斯过程经过线性变换(或线性系统)后的随机过程也是高斯过程。
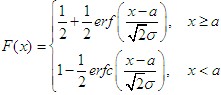
3.一维概率密度和概率分布函数
(1)概率密度函数
高斯随机变量的概率密度函数可表示成

a)
b)
如果
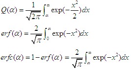
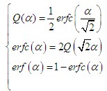
高斯分布函数是概率密度函数的积分

误差函数的定义式







返回顶部
刷新页面
下到页底