匹配滤波器具有特别重要的意义。例如在二进制数字传输中,我们关心的是能够从噪声中正确地判断两种可能信号中出现哪一种,判断时刻的信噪比愈高,愈有益于作出正确的判决。
一、匹配滤波器原理
设匹配滤波器的传输函数为

输出噪声



由此我们得出结论:在白噪声干扰的背景下,按
求式

作为数字信号的接收滤波器,匹配滤波器应该是物理可实现的。对于线性系统,物理可实现的条件是:当
为了满足物理可实现条件要求:
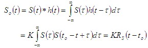
匹配滤波器的输出信号波形

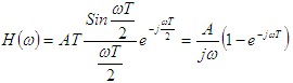
例1 设匹配滤波器的输入信号是一单个脉冲,如图2(a)所示,试求匹配滤波器的特性和输出信号波形。





二、二进制确知信号的匹配滤波接收
二进制数字信号中的两个不同波形
匹配滤波器构成的接收机方框图如图4所示。图中,有两个匹配滤波器,



返回顶部
刷新页面
下到页底