由与非门构成的同步RS触发器如图13-5(a)所示,其逻辑符号如图13-5(b)所示。图中门A和B构成基本触发器,门C和E构成触发引导电路。由图13-5(a)可见,基本触发器的输入当CP=0时,不论S、R是什么,,的值都为1,由基本触发器功能可知,触发器状态Q维持不变。当CP=1时,触发器状态将发生转移。为使触发器的翻转时刻真正由CP控制,不受S、R信号的影响,要求S、R信号在CP=1期间保持不变。因此,CP的作用仅是控制触发器的翻转时刻,而触发器
由与非门构成的同步RS触发器如图13-5(a)所示,其逻辑符号如图13-5(b)所示。图中门A和B构成基本触发器,门C和E构成触发引导电路。
由图13-5(a)可见,基本触发器的输入

当CP=0时,不论S、R是什么,
,
的值都为1,由基本触发器功能可知,触发器状态Q维持不变。当CP=1时,
触发器状态将发生转移。为使触发器的翻转时刻真正由CP控制,不受S、R信号的影响,要求S、R信号在CP=1期间保持不变。因此,CP的作用仅是控制触发器的翻转时刻,而触发器翻转后的状态,仍然是由S、R和Qn+1决定的。

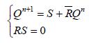
根据基本触发器的状态方程,可以得到,当CP=1时:

该式是同步RS触发器的状态方程,其中RS=0是约束条件,它表明在CP=1期间,触发器的状态按上式的描述发生状态转移。
同理可以得到在CP=1时,同步RS触发器的状态转移真值表如表13-4,激励表如表13-5以及状态转移图如图13-6所示。
图13-7是同步RS触发器的工作波形。当CP=0时,不论R、S如何变化,触发器状态维持不变。只有当CP=1时,R、S的变化才能引起状态的改变。




返回顶部
刷新页面
下到页底