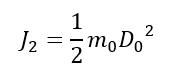
负载转动惯量:
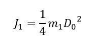
齿轮转动惯量:
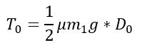
匀速力矩:
加速力矩:
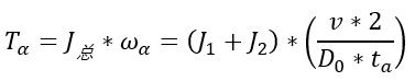
力矩之和:
选型实例:
需要设计一套齿轮齿条传动系统,行程3000mm,负载是一个机械手臂,重量2t左右,要求最大速度1000mm/s, 需要在4秒内走完全程。齿轮齿条传动,齿轮模数4,和减速机直联的驱动齿轮分度圆直径72mm,承重机构为THK直线导轨SRG35。根据以上参数选择合适的减速电机。
计算选型:
根据最大速度500mm/s, 需要在2秒内走完全程,可以得到如下运动参数:
假设加速度2m/s^2,加速过程0.5秒,匀速过程2.5秒,减速过程0.5秒,一共需要3.5秒。剩下0.5秒用作安全余量。
负载的转动惯量:
传动齿轮本身的转动惯量:
这里带入公式计算需要涉及传动齿轮质量,传动齿轮质量一般不大,这里估算300g,代入计算:
匀速运动的时候,所需要力矩:
假设摩擦系数0.1
加速运动时所需力矩:
由上文速度曲线图已知速度V=1m/s,加速时间ta=0.5秒
因此总力矩:
即所选电机减速机的峰值扭矩应该大于214.36Nm
电机的输出功率:
假设传动效率为80%,则电机功率
因此所选电机功率需大于7.45kw。
以上便是减速电机选型过程,如有不正确之处,请大家指正!


返回顶部
刷新页面
下到页底