家装,顾名思义就是家庭装修。书上对家装电工没有明确的定义,因用电环境不合格造成家用电器漏电而发生伤人事故的也不少,所以我试着给家装电工下个定义:所谓家装电工,就是在家庭装修的过程中,为户主创建一个安全的用电环境的专职电工。
电工分类很细,大致分下:电力生产、电器设备(包括家用电器)的生产这一块叫生产电工;电厂出来到变压器这一块叫高压电工,一般印象里就是归电业局管的;变压器到电度表这一块叫物业电工,电度表到屋里的插座和灯具这一块叫家装电工;电器设备(包括家用电器)的维护维修这一块叫维修电工。(这是我自己的分法,)。
工作地点:户主住宅
工作范围:从电度表往屋里引线开始到插座灯具安装完成结束
工作内容:电线管线槽等配件、电线、开关、插座、灯具的选购和安装
安装方式:暗敷或明敷,现在几乎都是暗敷
理论方面,电磁感应及其应用、直流电交流电、电容电阻等电子学方面的理论知识家装电工用不上。因为市电是交流220伏,不用考虑电源内阻,所以全电路欧姆定律都用不上,能用上的似乎只有电路识图和不含电源部分欧姆定律了,也就是I=U/R。现在全部是暗敷,线路布在墙里,所以需要学些建筑方面的知识,比如扫尾工程中的搪灰找平和墙面粉刷,以恢复墙面的本来面目,这一点跟建筑电工有点类似。
供电线路分两种:三相四线制和三相五线制。三相四线制是三根火线L(红黄绿三色)一根零线N(蓝线)。两线制入户,一根火线一根零线,火线进开关,连接插座或灯具,总结成口诀就是“火线零线两根线,插座灯具两终端”。零线不准安装熔断器及开关电器。三相五线制是在三相四线制的基础上增加了一根保护地线(PE线,黄绿双色)。三线制入户,PE线一定要连到插座的PE端,确保连接良好。零线和地线分开敷设,不能共用同一根导线。两线制有被三线制淘汰掉的趋势。
动力电380V,照明电220V,除少部分高级住宅和别墅用的是380V三相四线制入户外,绝大部分用的是市电220V交流电,50HZ。标准色是火线红色,零线蓝色,地线黄绿双色。地线只能用黄绿双色线,火线红色不够用时可以用其它颜色,零线尽量用蓝色,如果用其它颜色代替的话,要在施工完成后画的电路走向图中标明,否则维修检查时要用电笔判断了。
动力电380V,照明电220V,除少部分高级住宅和别墅用的是380V三相四线制入户外,绝大部分用的是市电220V交流电,50HZ。标准色是火线红色,零线蓝色,地线黄绿双色。地线只能用黄绿双色线,火线红色不够用时可以用其它颜色,零线尽量用蓝色,如果用其它颜色代替的话,要在施工完成后画的电路走向图中标明,否则维修检查时要用电笔判断了。
一个开关控制一盏灯是最基本的也是最常用的线路
电工工具有很多,家装电工用不上的就不说了,常用的工具列举如下:
钳子又叫钢丝钳,钳口用来弯绞或钳夹导线线头,齿口用来拧紧拧松小螺帽小螺丝,刀口用来剪掉多余的电线和剥线头。操作方法:右手握住钳柄,小指伸在两钳柄中间,并抵住钳柄以便张开钳头。使用中不能把钳子当锤子用。
尖嘴钳在狭小的空间操作方便,操作方法同钳子。
起子又叫螺丝刀,改锥,分为一字起和十字起,主要用来拧紧拧松螺丝钉,螺丝钉上面的起子扣现在都是二合一的,两种起子通用。起子大小不一,应根据实际情况选用,一字起还用来撬开86规格的开关插座灯头的外盖,十字起主要用来固定线头,把线头固定在接线柱上。要注意的是起子中有一种穿柄起子,是钳工工具,可以用锤敲,其它的起子在使用中不能用锤敲!
剥线头的方法很多,钳子、尖嘴钳、剥线钳、斜口钳、电工刀都能用。电工刀不绝缘,主要用来剥线头,现在被美工刀淘汰。
盒尺又叫钢卷子尺,用来测量尺寸,给开关插座灯头定位,常用的规格有3米和5米。
画线规,主要用于圆形灯具时画线定位。水平尺主要用于成排的开关插座高度一致性的定位检查。
电笔用于测量500V以下的电路,有钢笔式、起子式、感应式、数显式。以起子式电笔为例,大拇指和中指捏住电笔的上端,不能捏下面的金属部分,食指指尖肚按在电笔顶端的金属盖上。接触测量部位后,测量部位有电的话上端里面的氖管会发亮。
电笔的常用技巧:
一、区别直流电和交流电。测量带电体时,氖管的两个电极同时发光,说明是交流电。两个电极只有一个发光,则是直流电。
二、区别火线和零线。测量交流电时,氖管发亮的是火线,不亮的是零线。
三、判断直流电的正、负极。将测电笔接在直流电路中测试,氖泡发亮的那一极就是负极,不发亮的一极是正极。
四、判断零线断路。电笔接触灯头插座的两个电极时,氖管都发光,灯泡不会亮,说明零线断了。
五、测量火线是否碰壳。测试电气设备的外壳,氖管发光,说明火线已经碰壳。
电锤用来在墙上打眼,以便安装膨胀栓或膨胀螺丝。脸部朝上作业时要戴上防护面罩,钻头和墙面垂直,并经常拔出钻头排屑,防止钻头扭断或崩头。
弯管器用来电线管的弯曲,把弯管器穿入管子,一掰即可。弧度控制在线管直径的10倍左右,以便于顺利穿线或拆线。穿线器用来在电线管里穿线和拆线。
手动切割机用来在墙上开线槽,因为工作期间灰尘较大,所以开工前要戴上护目镜和口罩,必要时戴面罩,做好劳动保护。一次成型开槽机看起来就是手砂轮上安个切割片,再加上个水冷却而已。
在天花板上安装吊扇、安装吸顶灯、在靠近天花板的墙面上排线时要用上人字梯了,上下梯子时要保持三点接触原则,即两脚一手。
锤子,准备一把鸭嘴锤或羊角锤,明线方式固定线槽开关插座时,可以用鸭嘴锤和带红疙瘩小钢钉(商品名射钉)来固定线槽开关插座。网线安上水晶头后叫跳线,用于路由器、宽带猫、主机之间的连接。跳线的制作要用上网钳,网钳分为单用、两用、三用三种。4P压接4芯线(电话接入线);6P压接6芯线(电话话筒线rj11);8p压接8芯线(网线rj45)。网线里有8根线,排序有两个标准,一个是白绿、绿、白橙、蓝、白蓝、橙、白棕、棕;一种是白橙、橙、白绿、蓝、白蓝、绿、白棕、棕,施工中必须采用同一个标准,否则会出现连通性故障。
电缆准备工具又叫剥线刀,和网钳配合使用。

跳线制作步骤:
一、剪取适当长度的网线。剪取长度要比实际长度要长一些。
二、将护套或线标套入网线,标记该网线。
三、剥线刀缺口向上,一手食指穿入圆环内,拇指和中指固定剥皮刀,另一手拿网线,在距离线端20mm处将网线从缺口推进,左右手配合轻推轻拉。
四、左手握住网线,右手食指穿在圆环内,沿顺时针方向旋转,将网线最外层的绝缘层割开,退下剥皮刀,掰动并拨下绝缘胶皮。
五、将8根线一一拆开、理顺、捋直,然后按照规定的线序排列整齐。不能错,不能乱。第1线和第2线、第3线和第6线、第4线和第5线、第7线和第8线必须分别是一个绕对(同一股线)。
六、把线尽量抻直、压平、挤紧理顺,然后用网钳把线头剪齐。如果外皮过长,可以剪短,保留14mm左右。
七、一手以拇指和中指捏住水晶头,使有塑料弹片的一侧向下,针脚一方朝向远离自己的方向,并用食指抵住。另一手将8根导线同时沿水晶头的8条线槽插入,一直擳到线槽的顶端。
八、准确无误后,将水晶头从无牙的一侧推入网线夹槽后,用力握紧网钳,交突出在外面的针脚全部压入水晶头内。
九、将护套套在水晶头,按照相同的方法制好另一端的水晶头,完成。
完成后要用网络电缆测试仪测试一下,以确定是否有连接故障。
一、剪取适当长度的网线。剪取长度要比实际长度要长一些。
二、将护套或线标套入网线,标记该网线。
三、剥线刀缺口向上,一手食指穿入圆环内,拇指和中指固定剥皮刀,另一手拿网线,在距离线端20mm处将网线从缺口推进,左右手配合轻推轻拉。
四、左手握住网线,右手食指穿在圆环内,沿顺时针方向旋转,将网线最外层的绝缘层割开,退下剥皮刀,掰动并拨下绝缘胶皮。
五、将8根线一一拆开、理顺、捋直,然后按照规定的线序排列整齐。不能错,不能乱。第1线和第2线、第3线和第6线、第4线和第5线、第7线和第8线必须分别是一个绕对(同一股线)。
六、把线尽量抻直、压平、挤紧理顺,然后用网钳把线头剪齐。如果外皮过长,可以剪短,保留14mm左右。
七、一手以拇指和中指捏住水晶头,使有塑料弹片的一侧向下,针脚一方朝向远离自己的方向,并用食指抵住。另一手将8根导线同时沿水晶头的8条线槽插入,一直擳到线槽的顶端。
八、准确无误后,将水晶头从无牙的一侧推入网线夹槽后,用力握紧网钳,交突出在外面的针脚全部压入水晶头内。
九、将护套套在水晶头,按照相同的方法制好另一端的水晶头,完成。
完成后要用网络电缆测试仪测试一下,以确定是否有连接故障。
电度表现在的规范叫法是电能表。单相电度表有两种接法:一种是跳线式,火线进1出3,零线进2出4;一种是顺线式,火线进1出2,零线进3出4,跳线式用得多些。常用规格有10(40)的和5(60),一般由电业局提供。
电度表的文字符号是PJ,图形符号是
,

电度表的文字符号是PJ,图形符号是
,
断路器又叫空气开关,具有短路保护、过载保护、失压保护功能,也就是闸刀开关和插瓷保险二合一,上面标注的C10、C16、C20等表示这个断路器的大小。一般情况下总开关要小于电表的最大允许电流,否则会出现电表烧了总开关也不会跳闸的现象。回路开关打开后的回路总电流要小于总开关的总电流,否则会出现回路开关不跳闸总开关光跳闸或者回路开关和总开关同时跳闸的现象。家用断路器常用的规格有C10、C16、C20、C25、C32、C40。
断路器的电气符号:
断路器的电气符号:

漏电保护器,又名剩余电流动作保护器,简称RCD,可以分为以下三种:
第一 不带过载、短路保护,仅有漏电保护的RCD,也称为漏电开关,与熔断器、热继电器配合可构成功能完善的低压开关元件。
第二 带过载保护、短路保护和漏电保护的RCD,也称为漏电断路器.。
第三 没有过载、短路保护功能,也不直接分合电路,仅有漏电报警作用的RCD,也称为漏电继电器。
家庭装修一般用漏电断路器,电气符号是:

插座用不用漏电断路器,住宅设计规范GB 50096-2011规定:除壁挂式分体空调电源插座外,电源插座回路应设置剩余电流保护装置。需要不需要安装总漏电断路器,住宅设计规范GB 50096-2011规定:每幢住宅的总电源进线应设剩余电流动作保护或剩余电流动作报警。
在实际应用中,有用的,也有不用的,这两种方案都在使用中。卫生间湿度大容易漏电,特别是安有电热水器的情况下。厨房里跟做饭相关的大功率电器较多,天天做饭天天接触。出于安全方面考虑,为避免漏电产生的危险,所以这两个地方必须使用漏电断路器。
第一 不带过载、短路保护,仅有漏电保护的RCD,也称为漏电开关,与熔断器、热继电器配合可构成功能完善的低压开关元件。
第二 带过载保护、短路保护和漏电保护的RCD,也称为漏电断路器.。
第三 没有过载、短路保护功能,也不直接分合电路,仅有漏电报警作用的RCD,也称为漏电继电器。
家庭装修一般用漏电断路器,电气符号是:

插座用不用漏电断路器,住宅设计规范GB 50096-2011规定:除壁挂式分体空调电源插座外,电源插座回路应设置剩余电流保护装置。需要不需要安装总漏电断路器,住宅设计规范GB 50096-2011规定:每幢住宅的总电源进线应设剩余电流动作保护或剩余电流动作报警。
在实际应用中,有用的,也有不用的,这两种方案都在使用中。卫生间湿度大容易漏电,特别是安有电热水器的情况下。厨房里跟做饭相关的大功率电器较多,天天做饭天天接触。出于安全方面考虑,为避免漏电产生的危险,所以这两个地方必须使用漏电断路器。
配电电气单元安柜里就是配电柜,安屏上就是配电屏,安箱里就是配电箱,安木板上就是配电盘,作用都是一样的:分配电能、控制电器、保护电器。现在家庭用的是配电箱,配电盘是5(20)电表时代老房子用的,现在淘汰了。
楼宇住宅家庭一般总配电箱装在楼道里,里面是各家各户的电表和总开关。电表装一起的叫电表箱,方便电业局抄表。总开关装一起的叫开关箱,数量不一,按住宅的数量进行确定。进入客厅后再安个室内配电箱,用于日常使用,回路多的按需要可配置分配电箱。一般采用暗装配电箱,随土建施工预埋。室内配电箱的配电电气单元由电源总闸单元、漏电保护单元、回路控制单元三个功能单元组成,分配电箱的配电电气单元由漏电保护单元、回路控制单元二个功能单元组成。
照明配电箱的文字符号是AL,图形符号是:
配电箱安装标高是1800mm。安装完成后用标签标示出每个断路器控制的是哪一条线路,这样不但平常使用方便,也便于日后维修。
《建筑电气工程验收规范2011》相关规定:柜、屏、台、箱、盘间配线:电流回路应采用额定电压不低于 750V、芯线截面积不小于 2.5mm2 的铜芯绝缘电线或电缆;除电子元件回路或类似回路外,其他回路的电线应采用额定电压不低于 750V、芯线截面不小于 1.5mm2 的铜芯绝缘电线或电缆。
照明配电箱(盘)安装应符合下列规定:
主控项目
1. 箱(盘)内配线整齐,无绞接现象。导线连接紧密,不伤芯线,不断股。垫圈下螺丝两侧压的导线截面积相同,同一端子上导线连接不多于 2 根,防松垫圈等零件齐全;
2. 箱(盘)内开关动作灵活可靠,带有漏电保护的回路,漏电保护装置动作电流不大于 20mA,动作时间不大于 0.1s。
3. 照明箱(盘)内,分别设置零线(N)和保护地线( PE 线)汇流排,零线和保护地线经汇流排配出。
一般项目
1. 位置正确,部件齐全,箱体开孔与导管管径适配,暗装配电箱箱盖紧贴墙面,箱(盘)涂层完整;
2. 箱(盘)内接线整齐,回路编号齐全,标识正确;
3. 箱(盘)不采用可燃材料制作;
4. 箱(盘)安装牢固,垂直度允许偏差为 1.5‰;底边距地面为 1.5m,照明配电板底边距地面不小于 1.8m。插座分暗装和明装两种,常见的插座有3孔、4孔、5孔、7孔和多用插座,还有带开关的插座、防水插座等。分10A和16A两种,10A是普通插座,16A为大功率插座。空调用3孔16A插座;有线电视不用机顶盒看不成,机顶盒和电视共用一个4孔10A的普通插座;10A五孔插座是最常用的普通插座,用于一般布线;床头柜上的插座平时用于台灯照明和手机充电,可用4孔或7孔插座;电冰箱洗衣机可用带开关的插座;卫生间用防水插座;厨房大功率电器比较多,所以16A的大功率插座用得比较多;电脑的插头比较多,一般用10A的多功能插座。
插座的文字符号是XS,图形符号是:

电信插座(多媒体插座)符号是:
用下列文字符号区分:TP电话、PC电脑、TX电传、TV电视、M传声器、FM调频
插座竖向排列时为上火下零,横向排列时为左零右火。因为装修时都要铺地板砖或木地板,所以插座的安装尺寸指的是地面装修完成后的安装尺寸。一般情况下插座距门边150mm~200mm,一般高度是1300m~1400m。距地面最低300m这个位置在日常生活的实际应用中用处不大,值得商榷。在住宅里插座安在这个位置的话一个使家具不能靠墙,家具还挡住了插座,不方便,再一个是家里有3岁以下的小孩的话,虽然插座上有安全防护板挡着里面的插孔,但是父母看到小孩的手往插座上伸的第一个动作就是制止,赶紧把小孩抱离插座,小孩还不愿意,开始闹腾,看着安全实际上给小孩父母们的感觉是不安全。所以最低300mm的这个位置在家装电工里建议不考虑。
空调插座的安装高度是1800m到2000mm之间,分体式空调2000W以下用10A的普通插座,2000W以上的用16A的插座。柜机一般直接用空气开关控制,不用插座。
电视柜的高度是根据正常收视的健康高度和电视的高度选择的,以29寸的电视机举例:29寸电视机机箱高度在600mm,柜子高度700mm,加起来就是1300mm。而测算下来的电视机屏幕中心到地面的高度尺寸大概在1100mm,这个高度尺寸正好符合正常收视的健康高度。另窗户台的高度是900mm,据此可以判断出电视柜插座的高度是900mm~1100mm。电视、DVD、功放、家庭影院都放在电视柜上,所以这个地方的插座尽可能地多一些,也可以用多功能插座一网打尽。
床头柜的高度是500mm~700mm,所以床头柜上的插座高度是700mm~800mm,比床头柜高100mm为好。床头柜上的插座一般用来给手机充电、使用台灯,手机充电器的插头和台灯的插头都是两头的,而且床头柜通常是两个,放在床的两边,所以这个地方的插座可以考虑7孔插座或4孔插座,一个床头柜一个,也可以根据实际需要增加插座数量。
现在带开关的插座本身,开关、内部接线、插座一体化设计,不用操心开关插座之间的内部接线问题。接线有两种方式:一种是开关控制插座,适用于洗衣机和电冰箱。洗衣服时开关打开,洗完后开关关闭,不用来回插拔洗衣机插头。电冰箱除霜时关闭开关,平时开关处于打开位置。另一种是开关和插座各管各,互不影响。

2012年8月1日生效的《住宅设计规范》里规定:
住宅套内电源插座应根据住宅套内空间和家用电器设置,电源插座的数量不应少于表8.7.6的规定。

开关的种类很多,家装电工里用的最多的一开、双控开关、声光控开关、防水开关,有条件的家庭还会用到触摸开关、克林开关。声光控开关一般用在楼道里,也可以用声光控灯头,声光控开关现在正在逐步被红外线开关取代。卫生间里如果浴霸带有照明灯,可以用浴霸的照明灯做为主照明,否则就要考虑单独安装主照明。因为洗澡的原因,卫生间湿度大,所以开关必须使用防水开关。床头柜上的开关有跟插座一起安的,有跟插座分开安的,以户主使用方便为原则。
开关的安装尺寸参考插座的安装尺寸,开关的安装高度一般跟成人肩膀同高。根据国家体育总局《2010年国民体质监测公报》显示,20岁到34岁的平均身高是170cm,按170cm来算,一般1米7高的成年人肩膀高是150cm。有些说法是电源开关离地面一般在120厘米至135 厘米之间,后面又跟个(一般开关高度是和成人的肩膀一样高),这个高度如果是肩膀高度的话,这个人只有150cm,显然不是成年人的身高,这种说法有点自相矛盾,所以还是参照插座的高度标准,开关的安装高度定在1300mm~1500cm。
住宅开关一般是控制主照明的开和关的,是控制开关,控制开关的文字符号是SA,图形符号是:


楼宇住宅家庭一般总配电箱装在楼道里,里面是各家各户的电表和总开关。电表装一起的叫电表箱,方便电业局抄表。总开关装一起的叫开关箱,数量不一,按住宅的数量进行确定。进入客厅后再安个室内配电箱,用于日常使用,回路多的按需要可配置分配电箱。一般采用暗装配电箱,随土建施工预埋。室内配电箱的配电电气单元由电源总闸单元、漏电保护单元、回路控制单元三个功能单元组成,分配电箱的配电电气单元由漏电保护单元、回路控制单元二个功能单元组成。
照明配电箱的文字符号是AL,图形符号是:
配电箱安装标高是1800mm。安装完成后用标签标示出每个断路器控制的是哪一条线路,这样不但平常使用方便,也便于日后维修。
《建筑电气工程验收规范2011》相关规定:柜、屏、台、箱、盘间配线:电流回路应采用额定电压不低于 750V、芯线截面积不小于 2.5mm2 的铜芯绝缘电线或电缆;除电子元件回路或类似回路外,其他回路的电线应采用额定电压不低于 750V、芯线截面不小于 1.5mm2 的铜芯绝缘电线或电缆。
照明配电箱(盘)安装应符合下列规定:
主控项目
1. 箱(盘)内配线整齐,无绞接现象。导线连接紧密,不伤芯线,不断股。垫圈下螺丝两侧压的导线截面积相同,同一端子上导线连接不多于 2 根,防松垫圈等零件齐全;
2. 箱(盘)内开关动作灵活可靠,带有漏电保护的回路,漏电保护装置动作电流不大于 20mA,动作时间不大于 0.1s。
3. 照明箱(盘)内,分别设置零线(N)和保护地线( PE 线)汇流排,零线和保护地线经汇流排配出。
一般项目
1. 位置正确,部件齐全,箱体开孔与导管管径适配,暗装配电箱箱盖紧贴墙面,箱(盘)涂层完整;
2. 箱(盘)内接线整齐,回路编号齐全,标识正确;
3. 箱(盘)不采用可燃材料制作;
4. 箱(盘)安装牢固,垂直度允许偏差为 1.5‰;底边距地面为 1.5m,照明配电板底边距地面不小于 1.8m。插座分暗装和明装两种,常见的插座有3孔、4孔、5孔、7孔和多用插座,还有带开关的插座、防水插座等。分10A和16A两种,10A是普通插座,16A为大功率插座。空调用3孔16A插座;有线电视不用机顶盒看不成,机顶盒和电视共用一个4孔10A的普通插座;10A五孔插座是最常用的普通插座,用于一般布线;床头柜上的插座平时用于台灯照明和手机充电,可用4孔或7孔插座;电冰箱洗衣机可用带开关的插座;卫生间用防水插座;厨房大功率电器比较多,所以16A的大功率插座用得比较多;电脑的插头比较多,一般用10A的多功能插座。
插座的文字符号是XS,图形符号是:

电信插座(多媒体插座)符号是:
用下列文字符号区分:TP电话、PC电脑、TX电传、TV电视、M传声器、FM调频插座竖向排列时为上火下零,横向排列时为左零右火。因为装修时都要铺地板砖或木地板,所以插座的安装尺寸指的是地面装修完成后的安装尺寸。一般情况下插座距门边150mm~200mm,一般高度是1300m~1400m。距地面最低300m这个位置在日常生活的实际应用中用处不大,值得商榷。在住宅里插座安在这个位置的话一个使家具不能靠墙,家具还挡住了插座,不方便,再一个是家里有3岁以下的小孩的话,虽然插座上有安全防护板挡着里面的插孔,但是父母看到小孩的手往插座上伸的第一个动作就是制止,赶紧把小孩抱离插座,小孩还不愿意,开始闹腾,看着安全实际上给小孩父母们的感觉是不安全。所以最低300mm的这个位置在家装电工里建议不考虑。
空调插座的安装高度是1800m到2000mm之间,分体式空调2000W以下用10A的普通插座,2000W以上的用16A的插座。柜机一般直接用空气开关控制,不用插座。
电视柜的高度是根据正常收视的健康高度和电视的高度选择的,以29寸的电视机举例:29寸电视机机箱高度在600mm,柜子高度700mm,加起来就是1300mm。而测算下来的电视机屏幕中心到地面的高度尺寸大概在1100mm,这个高度尺寸正好符合正常收视的健康高度。另窗户台的高度是900mm,据此可以判断出电视柜插座的高度是900mm~1100mm。电视、DVD、功放、家庭影院都放在电视柜上,所以这个地方的插座尽可能地多一些,也可以用多功能插座一网打尽。
床头柜的高度是500mm~700mm,所以床头柜上的插座高度是700mm~800mm,比床头柜高100mm为好。床头柜上的插座一般用来给手机充电、使用台灯,手机充电器的插头和台灯的插头都是两头的,而且床头柜通常是两个,放在床的两边,所以这个地方的插座可以考虑7孔插座或4孔插座,一个床头柜一个,也可以根据实际需要增加插座数量。
现在带开关的插座本身,开关、内部接线、插座一体化设计,不用操心开关插座之间的内部接线问题。接线有两种方式:一种是开关控制插座,适用于洗衣机和电冰箱。洗衣服时开关打开,洗完后开关关闭,不用来回插拔洗衣机插头。电冰箱除霜时关闭开关,平时开关处于打开位置。另一种是开关和插座各管各,互不影响。

2012年8月1日生效的《住宅设计规范》里规定:
住宅套内电源插座应根据住宅套内空间和家用电器设置,电源插座的数量不应少于表8.7.6的规定。

开关的种类很多,家装电工里用的最多的一开、双控开关、声光控开关、防水开关,有条件的家庭还会用到触摸开关、克林开关。声光控开关一般用在楼道里,也可以用声光控灯头,声光控开关现在正在逐步被红外线开关取代。卫生间里如果浴霸带有照明灯,可以用浴霸的照明灯做为主照明,否则就要考虑单独安装主照明。因为洗澡的原因,卫生间湿度大,所以开关必须使用防水开关。床头柜上的开关有跟插座一起安的,有跟插座分开安的,以户主使用方便为原则。
开关的安装尺寸参考插座的安装尺寸,开关的安装高度一般跟成人肩膀同高。根据国家体育总局《2010年国民体质监测公报》显示,20岁到34岁的平均身高是170cm,按170cm来算,一般1米7高的成年人肩膀高是150cm。有些说法是电源开关离地面一般在120厘米至135 厘米之间,后面又跟个(一般开关高度是和成人的肩膀一样高),这个高度如果是肩膀高度的话,这个人只有150cm,显然不是成年人的身高,这种说法有点自相矛盾,所以还是参照插座的高度标准,开关的安装高度定在1300mm~1500cm。
住宅开关一般是控制主照明的开和关的,是控制开关,控制开关的文字符号是SA,图形符号是:


这是双控单极开关的符号
双控开关上面的接线柱一个连电源火线,另外一个连灯头。下面的互相连接,有点像小学数学课上学过的1:2=2::4
双控开关上面的接线柱一个连电源火线,另外一个连灯头。下面的互相连接,有点像小学数学课上学过的1:2=2::4
开关和插座的明线安装工艺是一样的,安装高度确定后用铅笔定位,按铅笔做的记号用电锤打孔,先安上塑料膨胀栓,再用木螺丝固定开关插座。想省事的话可以用红疙瘩射钉加锤固定,也可以用塑料线卡,有条件的话可以用排钉枪或射钉枪。暗线安装工艺大同小异,都是先连线后固定,不一样的地方是开关连的两根线都是火线,没有先后之分;插座连线先连零线后连火线。
电线的选配是个难点,牵扯着家庭总负荷总电流和分支电路的分支电流的计算。家庭总负荷总电流和分支电路的分支电流的计算是电线选配的基础,电线选配是电路设计的基础,电路设计是住宅电气工程设计方案的组成部分,家装电工最终要形成独立设计完整的住宅电气工程设计方案的能力。按照电工安全操作规程,工作时现场必须有两名电工,所以家装电工必须要学会团队合作,形成合作完成住宅电气工程的能力。
电线是按电流大小进行选配的,电流的大小都是凭经验公式进行估算,书上介绍的也是经验公式,只说个大概。经验公式很多,没有明确的统一的方法,比较混乱,这就造成了初学者对于如何选配电线很是糊涂,不明不白,实际应用的时候放不开手脚。我分析了一下混乱的原因,列举如下,不全之处请大家补充:
一、选择电线的影响因素有环境温度、天气造成的后果(如下雨房子漏水)、冷却条件、敷设条件、本身机械强度等,有考虑这些因素的,也有忽略不计这些因素的。
二、计算的时候电流密度取值不同。有按5A/mm2算的,也有按6A/mm2算的,有按8A/mm2算的。
三、计算的时候功率因数取值不同。有取值0.9的,取值0.8的,取值0.75的。
四、感性负载的计算公式不同。一般按I=P/Ucosφ计算,也有在功率因数后面加上公用系数的。公用系数有取0.5的;也有功率因数取0.75,公用系数也取0.75的。
五、负荷总电流计算方法不一样,有取分支电流之和做为总电流的,有取分支电流之和再乘以0.8的,有取分支电流之和再加上20%做为余量为将来增加电器做准备的。
电线的选配是个难点,牵扯着家庭总负荷总电流和分支电路的分支电流的计算。家庭总负荷总电流和分支电路的分支电流的计算是电线选配的基础,电线选配是电路设计的基础,电路设计是住宅电气工程设计方案的组成部分,家装电工最终要形成独立设计完整的住宅电气工程设计方案的能力。按照电工安全操作规程,工作时现场必须有两名电工,所以家装电工必须要学会团队合作,形成合作完成住宅电气工程的能力。
电线是按电流大小进行选配的,电流的大小都是凭经验公式进行估算,书上介绍的也是经验公式,只说个大概。经验公式很多,没有明确的统一的方法,比较混乱,这就造成了初学者对于如何选配电线很是糊涂,不明不白,实际应用的时候放不开手脚。我分析了一下混乱的原因,列举如下,不全之处请大家补充:
一、选择电线的影响因素有环境温度、天气造成的后果(如下雨房子漏水)、冷却条件、敷设条件、本身机械强度等,有考虑这些因素的,也有忽略不计这些因素的。
二、计算的时候电流密度取值不同。有按5A/mm2算的,也有按6A/mm2算的,有按8A/mm2算的。
三、计算的时候功率因数取值不同。有取值0.9的,取值0.8的,取值0.75的。
四、感性负载的计算公式不同。一般按I=P/Ucosφ计算,也有在功率因数后面加上公用系数的。公用系数有取0.5的;也有功率因数取0.75,公用系数也取0.75的。
五、负荷总电流计算方法不一样,有取分支电流之和做为总电流的,有取分支电流之和再乘以0.8的,有取分支电流之和再加上20%做为余量为将来增加电器做准备的。
常用PVC电线管管径16、20的一般用于室内照明线路;25的常用于插座或室内主线管;32的常用于进户线的线管,有时也用于弱电线管;50、63、75的常用于室外配电箱至户内的线管。
PVC电线管敷设的主要工序是:断管、弯管、线管连接、线管敷设、穿线。
32mmn以下的管子切断时用专用截管器、特制剪刀、钢锯都行,切断后将管口修理平整。
32mm以下的用冷弯,方式有弹簧弯管和弯管器弯管,32mm以上的用热弯。常用的PVC管连接器有三通、月弯、束节等,管子和管子的连接方法有管接头或套管连接、插入法连接。
接线盒有钢盒和塑料盒,钢管配钢盒,塑料管配塑料盒,两者不能混用。pvc管与塑料接线盒的连接方法是:先将入盒接头和入盒锁扣坚固在盒壁,在插入段外壁周围涂抹专用pvc胶水,用力将管子插入接头,插入后不得随意转动,15S即可完成。
遇到下列情况之一时应增设接线盒:
1、管路长度超过30m,无弯曲。
2、管路长度超过20m,中间有一个弯曲。
3、管路长度超过15m,中间有两个弯曲。
4、管路长度超过8m,中间有三个弯曲。
敷设时尽量减少弯曲,在地面敷设时线管用水泥砂浆进行保护。在墙面敷设时先开槽,开槽的宽度和深度均应大于管外径的一倍以上,厚度必须保证管子的保护屋厚度,严禁在梁柱上开槽,开槽后将管子敷设在线槽里,用管卡固定。吊顶内敷设采用明管敷设,敷设在原始顶上,不得固定在平顶的吊架或龙骨上,接线盒的位置和龙骨错开。
穿线前先穿入一根铁丝,然后通过铁丝把导线穿入电线管内。多根导线在穿入过程中不能有绞合,不能有死弯。必要时可先穿铁丝后弯管,最后穿电线。
电线管与热水管、蒸气管同侧敷设时,电线管在热水管上面时跟热水管的间距大于300mm,在热水管下面时跟热水管的间距大于200mm;电线管在蒸气管上面时跟蒸气管的间距大于1000mm,在蒸气管下面时跟蒸气管的间距大于500mm;蒸气管外面有隔热层的话,电线管在蒸气管上面时跟蒸气管的间距大于800mm,在蒸气管下面时跟蒸气管的间距大于300mm;电线管和水管间距大于100mm;电线管和燃气管的水平间距不小于300mm。电线管和燃气、暖气、热水管交叉时,间距不少于100mm。
PVC电线管敷设的主要工序是:断管、弯管、线管连接、线管敷设、穿线。
32mmn以下的管子切断时用专用截管器、特制剪刀、钢锯都行,切断后将管口修理平整。
32mm以下的用冷弯,方式有弹簧弯管和弯管器弯管,32mm以上的用热弯。常用的PVC管连接器有三通、月弯、束节等,管子和管子的连接方法有管接头或套管连接、插入法连接。
接线盒有钢盒和塑料盒,钢管配钢盒,塑料管配塑料盒,两者不能混用。pvc管与塑料接线盒的连接方法是:先将入盒接头和入盒锁扣坚固在盒壁,在插入段外壁周围涂抹专用pvc胶水,用力将管子插入接头,插入后不得随意转动,15S即可完成。
遇到下列情况之一时应增设接线盒:
1、管路长度超过30m,无弯曲。
2、管路长度超过20m,中间有一个弯曲。
3、管路长度超过15m,中间有两个弯曲。
4、管路长度超过8m,中间有三个弯曲。
敷设时尽量减少弯曲,在地面敷设时线管用水泥砂浆进行保护。在墙面敷设时先开槽,开槽的宽度和深度均应大于管外径的一倍以上,厚度必须保证管子的保护屋厚度,严禁在梁柱上开槽,开槽后将管子敷设在线槽里,用管卡固定。吊顶内敷设采用明管敷设,敷设在原始顶上,不得固定在平顶的吊架或龙骨上,接线盒的位置和龙骨错开。
穿线前先穿入一根铁丝,然后通过铁丝把导线穿入电线管内。多根导线在穿入过程中不能有绞合,不能有死弯。必要时可先穿铁丝后弯管,最后穿电线。
电线管与热水管、蒸气管同侧敷设时,电线管在热水管上面时跟热水管的间距大于300mm,在热水管下面时跟热水管的间距大于200mm;电线管在蒸气管上面时跟蒸气管的间距大于1000mm,在蒸气管下面时跟蒸气管的间距大于500mm;蒸气管外面有隔热层的话,电线管在蒸气管上面时跟蒸气管的间距大于800mm,在蒸气管下面时跟蒸气管的间距大于300mm;电线管和水管间距大于100mm;电线管和燃气管的水平间距不小于300mm。电线管和燃气、暖气、热水管交叉时,间距不少于100mm。
灯泡正在逐渐被淘汰,目前100W和60W的灯泡已经停产,买一个少一个,而且能用的地方越来越少了。楼道走廊用的声光控开关照明电路只能用灯泡,不能用节能灯。家里如果是老妈做饭,建议厨房主照明使用60W灯泡,亮度高,老年人看得清。
老式日光灯家庭用得越来越少,现在基本上都用电子镇流器日光灯,新潮一点的用LED日光灯。这三种日光灯的接线图如下:
老式日光灯家庭用得越来越少,现在基本上都用电子镇流器日光灯,新潮一点的用LED日光灯。这三种日光灯的接线图如下:

节能灯已经代替了灯泡,灯泡烧了后直接换上节能灯就行了,不用动电路,十分方便。吸顶灯、壁灯、护眼灯用的都是节能灯,节能灯已经成为主流灯具。
LED照明是第四代光源,目前主要用于商业照明领域,因为技术上不成熟的原因,进入家庭照明领域的产品很少,我见过的有充电式LED手电筒、LED台灯、LED节能灯、小夜灯。
小夜灯主要用于半夜需要起床的时候。家里有5岁以内小孩的话,特别是使用尿布的小孩,半夜发烧了、感冒了、尿床了、换尿布了、饿了喂奶的时候,都需要起来进行护理。5岁以内的小孩还怕黑,一关灯就不愿意,拱怀里也是害怕得睡不着。而小夜灯因为灯罩的保护,不刺眼,还能小范围地看清周围,看清小孩是足够了,护理起来很是方便,还不影响睡眠,有个亮小孩睡得安生,父母也能睡个安生觉,所以也叫婴幼儿儿护理灯。当然了,小孩大了就不用了,轮到老人半夜起床的时候用上了。电路改造根据电路设计图施工,封槽之前绘制位置图,设计电路图要先算出家庭用电总负荷。用电总负荷的计算包括总功率的计算和总电流的计算。
总功率的计算
一、 确定每条分支线路都有哪些电器,确定哪些电器在同时使用,计算出不同使用情况下同时使用的电器共有多少功率,取最大使用功率做为该分路的分路功率。家用电器的铭牌上都有额定功率,计算方便,需要注意的有两个地方:
1、 计算冷暖空调的时候不光要计算室内机的输入功率,还要算上室外机的输入功率,两者的和才是空调回路的回路功率。
2、 太阳能热水器有电加热功能的,计算时要把电加热的功率算进去,不要以为温控仪费不了多少电就把电加热给忘了。
二、 总功率的计算有两个方法:第一个是分路功率之和乘以0.8,第二个是分路功率之和乘以120%,增加20%的余量做为将来增加电器之用。我偏向于第二个方法。
总电流的计算
一、计算分路电流。方法一:取分路功率的3.6倍。方法二:因为家用电器的功率因数具体数值的不确定,铭牌上也不显示功率因数,所以就不考虑功率因数了,直接用欧姆定律来算。
二、计算总电流。直接用欧姆定律来算。总电流=总功率/220。 总负荷算出来了,就可以进配线,进行电路的线路设计了,包括强电部分和弱电部分。
强电部分
照明回路用电不多,主要是每个屋子的主照明,有的还有壁灯,吊扇一般是75W,可以并到照明回路里。阳台必须要有照明,晚上晾衣服用。阳台在哪个房间阳台的照明就和哪个房间照明回路并在一起。有并成一路的,也有每个屋子一路,分成好几路的,分成好几路的目的是某一回路有故障了,不影响其它回路的照明。
强电插座回路在家具的尺寸和摆放位置和家电的尺寸和摆放位置都确定下来之后再进行设计,这样就不会出现插座位置不对、家具把插座挡住了和插座不够用的现象。除了空调回路,每个插座回路都要安一个到两个插座做为备用,临时用电用个一下半下的,设计原则是安全第一实用为上。
客厅的插座布置:家里有干鞋器的在鞋柜附近安个插座;电视柜上的家电较多,按插头的数量配置插座,四眼插座为主,五眼插座为辅,也可以用118插座;电冰箱和洗衣机在客厅的两者分开设计,使用带开关的插座;沙发背景墙可以两边各安一个插座;大门是进出的门户,大门旁边安个插座备用,如果楼道没灯,就从插座引线,自己安个声控灯头,装上灯泡,使用方便;有条件的家庭可以考虑在餐厅安地插,吃火锅方便。
客厅装不装双控开关由户主说了算,装的话一个装客厅,一个装卧室,这样睡觉的时候,不用黑灯瞎火地进卧室;也可以不装,用一个1W的LED小夜灯插在客厅的插座上,10点睡觉的时候打开,6点起床后关闭,一个晚上八个钟头,算下来四个月一度电,功率可以忽略不计。
电脑用电单独设一个回路,因为插头多,所以平常用的是10A的多用插座。网线是弱电,连到无线路由器上的,无线路由器和电脑都在一张电脑桌上,要注意路由器要距离多用插头20cm以上。电脑回路单独设置有个好处就是万一主照明不会亮了可以使用USB台灯应个急,也可以在平时晚上玩电脑的时候使用USB台灯,这样就不用开主照明了。
一个空调设置一条回路,空调回路不能使用漏电断路。柜机一般用断路器直接控制,不使用插座。
卧室插座回路一般一个房间设置一路,阳台在哪个房间阳台的插座就并在哪个房间的插座回路上。阳台设置两个五孔插座,每个床头柜一个四孔插座或七孔插座,用于手机充电和使用台灯。卧室的照明使用双控开关,冬天可以门口开灯床上关灯,或者床上开灯门口关灯,不用出被窝,所以有条件的话卧室能换成双控开关的全部换成双控开关。
卫生间的电器也比较多,可以考虑分电箱,专线控制,这样一旦需要维修,不影响其它房间的用电。电热水器一条回路;太阳能热水器有电加热功能的设置一条回路;浴霸一条回路,浴霸自带照明灯的用自带照明灯做为卫生间的主照明,没有自带照明灯的安装防水开关控制主照明;浴霸自带换气功能的就不有安换气扇了,没有这功能的话要安换气扇,冬天窗户关死了,气味不好闻,换气扇就用上了,所以使用换气扇的在窗户附近安个插座;使用智能马桶的在马桶附近安装插座;洗衣机放卫生间的给洗衣机配个插座。卫生间湿度太大,必须要用防水插座,其它地方需要装灯的并到照明回路中,有条件的必须做局部等电位联结,以进一步保护安全。
LED照明是第四代光源,目前主要用于商业照明领域,因为技术上不成熟的原因,进入家庭照明领域的产品很少,我见过的有充电式LED手电筒、LED台灯、LED节能灯、小夜灯。
小夜灯主要用于半夜需要起床的时候。家里有5岁以内小孩的话,特别是使用尿布的小孩,半夜发烧了、感冒了、尿床了、换尿布了、饿了喂奶的时候,都需要起来进行护理。5岁以内的小孩还怕黑,一关灯就不愿意,拱怀里也是害怕得睡不着。而小夜灯因为灯罩的保护,不刺眼,还能小范围地看清周围,看清小孩是足够了,护理起来很是方便,还不影响睡眠,有个亮小孩睡得安生,父母也能睡个安生觉,所以也叫婴幼儿儿护理灯。当然了,小孩大了就不用了,轮到老人半夜起床的时候用上了。电路改造根据电路设计图施工,封槽之前绘制位置图,设计电路图要先算出家庭用电总负荷。用电总负荷的计算包括总功率的计算和总电流的计算。
总功率的计算
一、 确定每条分支线路都有哪些电器,确定哪些电器在同时使用,计算出不同使用情况下同时使用的电器共有多少功率,取最大使用功率做为该分路的分路功率。家用电器的铭牌上都有额定功率,计算方便,需要注意的有两个地方:
1、 计算冷暖空调的时候不光要计算室内机的输入功率,还要算上室外机的输入功率,两者的和才是空调回路的回路功率。
2、 太阳能热水器有电加热功能的,计算时要把电加热的功率算进去,不要以为温控仪费不了多少电就把电加热给忘了。
二、 总功率的计算有两个方法:第一个是分路功率之和乘以0.8,第二个是分路功率之和乘以120%,增加20%的余量做为将来增加电器之用。我偏向于第二个方法。
总电流的计算
一、计算分路电流。方法一:取分路功率的3.6倍。方法二:因为家用电器的功率因数具体数值的不确定,铭牌上也不显示功率因数,所以就不考虑功率因数了,直接用欧姆定律来算。
二、计算总电流。直接用欧姆定律来算。总电流=总功率/220。 总负荷算出来了,就可以进配线,进行电路的线路设计了,包括强电部分和弱电部分。
强电部分
照明回路用电不多,主要是每个屋子的主照明,有的还有壁灯,吊扇一般是75W,可以并到照明回路里。阳台必须要有照明,晚上晾衣服用。阳台在哪个房间阳台的照明就和哪个房间照明回路并在一起。有并成一路的,也有每个屋子一路,分成好几路的,分成好几路的目的是某一回路有故障了,不影响其它回路的照明。
强电插座回路在家具的尺寸和摆放位置和家电的尺寸和摆放位置都确定下来之后再进行设计,这样就不会出现插座位置不对、家具把插座挡住了和插座不够用的现象。除了空调回路,每个插座回路都要安一个到两个插座做为备用,临时用电用个一下半下的,设计原则是安全第一实用为上。
客厅的插座布置:家里有干鞋器的在鞋柜附近安个插座;电视柜上的家电较多,按插头的数量配置插座,四眼插座为主,五眼插座为辅,也可以用118插座;电冰箱和洗衣机在客厅的两者分开设计,使用带开关的插座;沙发背景墙可以两边各安一个插座;大门是进出的门户,大门旁边安个插座备用,如果楼道没灯,就从插座引线,自己安个声控灯头,装上灯泡,使用方便;有条件的家庭可以考虑在餐厅安地插,吃火锅方便。
客厅装不装双控开关由户主说了算,装的话一个装客厅,一个装卧室,这样睡觉的时候,不用黑灯瞎火地进卧室;也可以不装,用一个1W的LED小夜灯插在客厅的插座上,10点睡觉的时候打开,6点起床后关闭,一个晚上八个钟头,算下来四个月一度电,功率可以忽略不计。
电脑用电单独设一个回路,因为插头多,所以平常用的是10A的多用插座。网线是弱电,连到无线路由器上的,无线路由器和电脑都在一张电脑桌上,要注意路由器要距离多用插头20cm以上。电脑回路单独设置有个好处就是万一主照明不会亮了可以使用USB台灯应个急,也可以在平时晚上玩电脑的时候使用USB台灯,这样就不用开主照明了。
一个空调设置一条回路,空调回路不能使用漏电断路。柜机一般用断路器直接控制,不使用插座。
卧室插座回路一般一个房间设置一路,阳台在哪个房间阳台的插座就并在哪个房间的插座回路上。阳台设置两个五孔插座,每个床头柜一个四孔插座或七孔插座,用于手机充电和使用台灯。卧室的照明使用双控开关,冬天可以门口开灯床上关灯,或者床上开灯门口关灯,不用出被窝,所以有条件的话卧室能换成双控开关的全部换成双控开关。
卫生间的电器也比较多,可以考虑分电箱,专线控制,这样一旦需要维修,不影响其它房间的用电。电热水器一条回路;太阳能热水器有电加热功能的设置一条回路;浴霸一条回路,浴霸自带照明灯的用自带照明灯做为卫生间的主照明,没有自带照明灯的安装防水开关控制主照明;浴霸自带换气功能的就不有安换气扇了,没有这功能的话要安换气扇,冬天窗户关死了,气味不好闻,换气扇就用上了,所以使用换气扇的在窗户附近安个插座;使用智能马桶的在马桶附近安装插座;洗衣机放卫生间的给洗衣机配个插座。卫生间湿度太大,必须要用防水插座,其它地方需要装灯的并到照明回路中,有条件的必须做局部等电位联结,以进一步保护安全。
厨房小家电种类繁多,按需选择,系统搭配。最常用的有抽油烟机、电水壶、微波炉、电饭锅、电饼铛、电磁炉,整体橱柜里的常用电器有洗碗机、消毒柜、垃圾处理器,冰箱嵌在整体橱柜里。个性化的就千差万别了,喜欢烧烤的有电烤箱;喜欢喝豆浆的有豆浆机;喜欢喝酸奶的有酸奶机;喜欢吃面包的有面包机;喜欢喝咖啡的有咖啡机;喜欢喝果汁的有榨汁机;不会煮鸡蛋的笨笨有煮蛋器,不一而足。有些想一边做饭一边洗衣服的勤劳主妇们会把洗衣机也放在厨房里。
厨房是家电最多、最耗电的场所,跟卫生间一样设置分配电箱进行专线控制。多大功率的电器是大功率电器没有固定的说法,书上说习惯上是把1000W以上的电器叫大功率电器,我的习惯是把使用16A插座的电器叫大功率电器,大功率电器需要单独设置回路,有几台同时在使用就设几个回路。
10A以下的电器可以使用带开关的插座,用开关控制插座,以避免频繁插拔。抽油烟机单独设置一条回路,燃气热水器一般安在厨房里,单独设置回路,要跟燃气灶一块安装燃气泄漏报警器,以防万一。整体橱柜使用的电器根据家庭的使用要求不同极富个性化,设计橱柜电器的布线时要跟整体橱柜设计同步进行,这样能够准确定位,施工时不会返工。弱电部分
强电传输电能,弱电传输信号。家庭弱电最常用的是有线电视线、电话线、电脑网线,有家庭影院的还有音响线,可用于背景音乐,其它的弱电线路跟智能化小区的智能化水平不同而不同。家庭弱电和强电的间距国标是50cm,达不到这个条件的最低间隔20cm。有线电视线由有线电视的工作人员安装,不用用户操心。电话线由电话局工作人员施工,进入屋内,有单独连座机的,也有用一进二出的分线盒,一个出线口连接座机,另一个出线口连无线路由器或宽带猫。
电脑网线用来电脑上网。无线路由器已经进入千家万户,用于手机、笔记本电脑、平板电脑平时上网。用电话线上网的经分线盒连到无线路由器,无线路由器连到宽带猫,宽带猫连到主机网卡上,把路由器设置一下就行了。没有用无线路由器的,网线直接连到宽带猫上,需要安装上相应的宽带客户端:联通是宽带我世界,电信是天翼宽带客户端,移动是中国移动融合宽带客户端,对客户端进行设置后即可正常上网。用光纤上网要用到光猫,光猫连到路由器,路由器连电脑。也有光猫直接连电脑上的,配置完后重启光猫就行了。
我对家庭光纤上网不熟悉,说错的话请指正,先谢谢了。

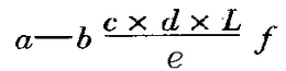
看系统图要熟悉标注方式。
照明灯具的标注

a ————灯具数量
b ————灯具类型
c ————灯具内灯泡(灯管)数量
d ————每个灯泡(灯管)的功率
e ————灯具安装高度
f ————安装方式代号
L ————光源种类
导线的标注

a ————线路编号
b ————导线种类
c ————导线根数
d ————导线横截面积
e ————敷设管径
f ————敷设部位
用电设备标注格式

a————设备编号;
b————额定功率,kW;
c————线路首端熔断片或自动开关脱扣器电流,A;
d————安装标高,m。
电力和照明配电箱标注格式

当需要标注引入线规格时为:

a————设备编号
b————设备型号;
c————设备功率,kW;
d————导线型号;
e————导线根数;
f————导线截面,mm2;
g————导线敷设方式及部位。
开关及熔断器标注格式

当需要标注引入线规格时为:

a——设备编号
b--设备型号;
c--额定电流,A;
i--整(镇)定电流,A;
d--导线型号;
e--导线根数;
f—导线截面,mm2;
g--导线敷设方式及部位。
厨房是家电最多、最耗电的场所,跟卫生间一样设置分配电箱进行专线控制。多大功率的电器是大功率电器没有固定的说法,书上说习惯上是把1000W以上的电器叫大功率电器,我的习惯是把使用16A插座的电器叫大功率电器,大功率电器需要单独设置回路,有几台同时在使用就设几个回路。
10A以下的电器可以使用带开关的插座,用开关控制插座,以避免频繁插拔。抽油烟机单独设置一条回路,燃气热水器一般安在厨房里,单独设置回路,要跟燃气灶一块安装燃气泄漏报警器,以防万一。整体橱柜使用的电器根据家庭的使用要求不同极富个性化,设计橱柜电器的布线时要跟整体橱柜设计同步进行,这样能够准确定位,施工时不会返工。弱电部分
强电传输电能,弱电传输信号。家庭弱电最常用的是有线电视线、电话线、电脑网线,有家庭影院的还有音响线,可用于背景音乐,其它的弱电线路跟智能化小区的智能化水平不同而不同。家庭弱电和强电的间距国标是50cm,达不到这个条件的最低间隔20cm。有线电视线由有线电视的工作人员安装,不用用户操心。电话线由电话局工作人员施工,进入屋内,有单独连座机的,也有用一进二出的分线盒,一个出线口连接座机,另一个出线口连无线路由器或宽带猫。
电脑网线用来电脑上网。无线路由器已经进入千家万户,用于手机、笔记本电脑、平板电脑平时上网。用电话线上网的经分线盒连到无线路由器,无线路由器连到宽带猫,宽带猫连到主机网卡上,把路由器设置一下就行了。没有用无线路由器的,网线直接连到宽带猫上,需要安装上相应的宽带客户端:联通是宽带我世界,电信是天翼宽带客户端,移动是中国移动融合宽带客户端,对客户端进行设置后即可正常上网。用光纤上网要用到光猫,光猫连到路由器,路由器连电脑。也有光猫直接连电脑上的,配置完后重启光猫就行了。
我对家庭光纤上网不熟悉,说错的话请指正,先谢谢了。



看系统图要熟悉标注方式。
照明灯具的标注

a ————灯具数量
b ————灯具类型
c ————灯具内灯泡(灯管)数量
d ————每个灯泡(灯管)的功率
e ————灯具安装高度
f ————安装方式代号
L ————光源种类
导线的标注
a ————线路编号
b ————导线种类
c ————导线根数
d ————导线横截面积
e ————敷设管径
f ————敷设部位
用电设备标注格式

a————设备编号;
b————额定功率,kW;
c————线路首端熔断片或自动开关脱扣器电流,A;
d————安装标高,m。
电力和照明配电箱标注格式

当需要标注引入线规格时为:

a————设备编号
b————设备型号;
c————设备功率,kW;
d————导线型号;
e————导线根数;
f————导线截面,mm2;
g————导线敷设方式及部位。
开关及熔断器标注格式

当需要标注引入线规格时为:

a——设备编号
b--设备型号;
c--额定电流,A;
i--整(镇)定电流,A;
d--导线型号;
e--导线根数;
f—导线截面,mm2;
g--导线敷设方式及部位。
照明平面图要和照明系统图结合起来看,系统图看大局,平面图看细节。看照明系统图的目的是在脑子里对整个电路的轮廓要有个概念,照明系统图的主要内容包括:
① 电源进户线、各级照明配电箱和供电回路,表示其相互连接形式;
② 配电箱型号或编号,总照明配电箱及分照明配电箱所选用计量装置、开关和熔断器等器件的型号、规格;
③ 各供电回路的编号,导线型号、根数、截面和线管直径,以及敷设导线长度等;
④ 照明器具等用电设备或供电回路的型号、名称、计算容量和计算电流等。
平面图主要看插座开关灯具的平面位置和电线的走向敷设方式,系统采用的接地保护方式及要求,核对系统图与照明平面图的回路编号、用途名称、容量及控制方式(集中、单独控制)是否相同。
照明位置图忠实地记录了电线的走向、开关插座在墙上的纵向位置、灯具电器在墙上或天花板上的位置,根据位置的不同可以分为天花图和墙面图。
实际接线图又叫透视图、斜视图,也可以说就是电施图,画起来麻烦,但对读懂图却有很大帮助。对于初学者来说,光看平面图就能施工有点困难,这就需要把平面图上的相关单元转换成实际接线图,再施工就容易了。
开工后家装电工根据平面图或电施图进行施工,封槽前验收时画出电线走向图、照明位置图(天花图、墙面图),房子竣工验收时所有的电路设计图备份一份,一份交给户主,一份存档。旧房的家具一般不会怎么挪动,家电即使更新换代了,也不会怎么挪动,所以旧房电路改造前就可以提前规划好电线的走向、开关插座的位置,新添电器的安装等,比较方便。
① 电源进户线、各级照明配电箱和供电回路,表示其相互连接形式;
② 配电箱型号或编号,总照明配电箱及分照明配电箱所选用计量装置、开关和熔断器等器件的型号、规格;
③ 各供电回路的编号,导线型号、根数、截面和线管直径,以及敷设导线长度等;
④ 照明器具等用电设备或供电回路的型号、名称、计算容量和计算电流等。
平面图主要看插座开关灯具的平面位置和电线的走向敷设方式,系统采用的接地保护方式及要求,核对系统图与照明平面图的回路编号、用途名称、容量及控制方式(集中、单独控制)是否相同。
照明位置图忠实地记录了电线的走向、开关插座在墙上的纵向位置、灯具电器在墙上或天花板上的位置,根据位置的不同可以分为天花图和墙面图。
实际接线图又叫透视图、斜视图,也可以说就是电施图,画起来麻烦,但对读懂图却有很大帮助。对于初学者来说,光看平面图就能施工有点困难,这就需要把平面图上的相关单元转换成实际接线图,再施工就容易了。
开工后家装电工根据平面图或电施图进行施工,封槽前验收时画出电线走向图、照明位置图(天花图、墙面图),房子竣工验收时所有的电路设计图备份一份,一份交给户主,一份存档。旧房的家具一般不会怎么挪动,家电即使更新换代了,也不会怎么挪动,所以旧房电路改造前就可以提前规划好电线的走向、开关插座的位置,新添电器的安装等,比较方便。
住宅电路的部分设计原则:
1、照明回路、插座回路分开,空调单独设回路,大功率电器一台设备设置一个回路。
2、1800mm以下的插座采用安全型插座。
3、卫生间应设置漏电断路器,必须采用防水开关防水插座,采取必要的接地保护措施,有条件的要进行局部等电位连接。
2011版住宅设计规范里对住宅供电系统的设计的规定:
1 应采用TT、TN-C-S或TN-S接地方式,并应进行总等电位联结;
2 电气线路应采用符合安全和防火要求的敷设方式配线,套内的电气管线应采用穿管暗敷设方式配线。导线应采用铜芯绝缘线,每套住宅进户线截面不应小于10mm2,分支回路截面不应小于2.5mm2;
3 套内的空调电源插座、一般电源插座与照明应分路设计,厨房插座应设置独立回路,卫生间插座宜设置独立回路;
4 除壁挂式分体空调电源插座外,电源插座回路应设置剩余电流保护装置;
5 设有洗浴设备的卫生间应作局部等电位联结;
6 每幢住宅的总电源进线应设剩余电流动作保护或剩余电流动作报警。
电路设计图获得户主认可后就可以施工了,购买电工电料时要有个电工电料明细表,尽量购买同一品牌,买回来后进行前期验收,主要是材料验收。在穿线完成、开关插座的暗盒固定之后,在泥瓦工进场之前进行中期验收,以便发现问题,及时整改。插座开关安装完成后进行尾期验收,主要检查开关插座的正常使用性能和安全性。达到入住条件后进行竣工验收,整体验收合格后签字确认,提供配线施工图。
我按照书上的说明和网上的模板设计了一张电工电料明细表,做为参考。这里只能发成图片,只好转换成图片了,转换成图片的过程太麻烦了,看的时候只好将就点了。
1、照明回路、插座回路分开,空调单独设回路,大功率电器一台设备设置一个回路。
2、1800mm以下的插座采用安全型插座。
3、卫生间应设置漏电断路器,必须采用防水开关防水插座,采取必要的接地保护措施,有条件的要进行局部等电位连接。
2011版住宅设计规范里对住宅供电系统的设计的规定:
1 应采用TT、TN-C-S或TN-S接地方式,并应进行总等电位联结;
2 电气线路应采用符合安全和防火要求的敷设方式配线,套内的电气管线应采用穿管暗敷设方式配线。导线应采用铜芯绝缘线,每套住宅进户线截面不应小于10mm2,分支回路截面不应小于2.5mm2;
3 套内的空调电源插座、一般电源插座与照明应分路设计,厨房插座应设置独立回路,卫生间插座宜设置独立回路;
4 除壁挂式分体空调电源插座外,电源插座回路应设置剩余电流保护装置;
5 设有洗浴设备的卫生间应作局部等电位联结;
6 每幢住宅的总电源进线应设剩余电流动作保护或剩余电流动作报警。
电路设计图获得户主认可后就可以施工了,购买电工电料时要有个电工电料明细表,尽量购买同一品牌,买回来后进行前期验收,主要是材料验收。在穿线完成、开关插座的暗盒固定之后,在泥瓦工进场之前进行中期验收,以便发现问题,及时整改。插座开关安装完成后进行尾期验收,主要检查开关插座的正常使用性能和安全性。达到入住条件后进行竣工验收,整体验收合格后签字确认,提供配线施工图。
我按照书上的说明和网上的模板设计了一张电工电料明细表,做为参考。这里只能发成图片,只好转换成图片了,转换成图片的过程太麻烦了,看的时候只好将就点了。
电工电料买回来验收合格后开始布线,布线也叫排线,布线工艺分两种:明线和暗线。明线一般用PVC线槽布线工艺,护套线布线工艺用得少些。暗线一般用电线管走线,走顶不走墙,走墙不走地,尽量利用预制板的孔洞走线。《砌体工程施工质量验收规范》GB50203-2011中3.0.7规定:设计要求的洞口、管道、沟槽应于砌筑时正确留出或预埋,未经设计同意,不得打凿墙体和在墙体上开凿水平沟槽。宽度超过300mm的洞口上部,应设置过梁。 也就是说一般情况下只开竖槽不开横槽,除非设计同意,是不允许开横槽的。
PVC线槽布线工艺:
一、用电锤打孔,安上塑料膨胀栓,用手掰开盖板,用木螺丝把底板拧入膨胀栓里,没有电锤或冲击钻的时候,可以直接用水泥钉把底板钉在墙上,拐弯和分线的地方可以用阳角,阴角,三通。
二、在电源和插座处留够线头后把电线放底板里,扣上盖板,放电线和扣底板同时进行,底板的接口和盖板的接口要错开。排灯线时零线不经过开关,直接连接灯头和电源;火线必须进开关,开关处要留足够的线头。
三、线槽不够长需要接续的时候按需要截取线槽,工具可以用美工刀,也可以用斜口钳,底板和盖板同时截取时可以用钢锯。
用护套线布线,可直接敷设在空心楼板内和墙面上,先用铅笔和木匠用墨斗画线定位,用钢精扎头或塑料线卡固定,线卡间距20cm,必须做到横平竖直平服,布线时尽量收紧。在同一墙面上拐弯时,必须保持垂直。拐弯处弯曲半径是护套线宽度的3到4倍,十字交叉时上下左右各安一个线卡。
一般要求:1、护套线在布线时如果不够长,不允许线芯与线芯直接连接,而是采用接线盒、插座、开关等接线柱来连接。
2、护套线穿过梁、墙、楼板和跨越线路等处应有保护管,管子两头要各安一个线卡。跨越建筑物沉降缝的导线两端应固定可靠,并在缝隙间留有适当余量。
3、不应直接埋入抹灰层内暗敷设及不得在室外露天场所明配敷设。
4、塑料护套线进入接线盒或与电气器具连接时,护套线应引入盒内150-200mm。
暗线工艺的一般流程是划线定位→开槽→安装底盒→布管→穿线→中期验收→封槽→灯具安装→安装开关面板和插座面板。划线定位
根据设计图纸上电线的走向进行划线定位,传统划线工具有木匠墨斗,现代划线工具有激光划线仪、集测距放线于一身的激光测距仪,暗盒定位、明线开关插座的定位用盒尺和铅笔。
传统墨斗手动收线,不会自动收线,现在有会自动收线的墨斗,有使墨汁的,有使墨粉的。使用墨斗时一般用两人进行弹线,墨斗要两只。弹线时,两个手里各拿一支,把两只墨斗里的线连在一起。这样,一人转动墨斗上的轮子,使墨线的一端回墨,另一人手里的墨线,已经粘上墨汁,就可进行弹线。这样,通过墨线的来往,就可以弹线了。这种弹线方法,既节约了时间,又避免了来回走动。
激光划线仪又叫激光标线仪,特点是:投射出激光线宽度控制在6mm以内,只需220V电源,可使用于高温环境中。使用激光划线仪,要注意的是因为激光器是中等功率激光器,操作不当会对眼睛造成损伤,平时要对激光器的管理专人专责,使用时必须采取保护眼的安全措施,比如说根据激光器的波长,选用光密度合适的保护眼镜。
开槽
确定开槽宽度:根据 PVC 管的管径,进而确定槽的宽度。若选用 16mm 的 PVC 管,则开槽深度为 20mm ;若选用 20mm 的 PVC 管,则开槽深度为 25mm 。轻体墙横向开槽不超过50cm;承重墙上不允许横向开槽;内保温墙横向开槽不超过100cm。
开槽原则:
①路线最短原则;
②不破坏原有强电原则;
③不破坏防水原则。
施工规范要求横平竖直,不按施工规范施工的话会出现以下问题:
1.操作时不按要求施工,所开的槽像蜘蛛网般,横七竖八,杂乱无章,尤其是出现斜槽。后果就是曾经开过槽的墙上会出现裂缝,而且裂缝的范围会逐渐向四处扩散。
2.所开槽深浅不一,不按要求进行,造成线管被埋入后薄厚不均,影响日后使用;同时,会影响墙面的平整度。
PVC线槽布线工艺:
一、用电锤打孔,安上塑料膨胀栓,用手掰开盖板,用木螺丝把底板拧入膨胀栓里,没有电锤或冲击钻的时候,可以直接用水泥钉把底板钉在墙上,拐弯和分线的地方可以用阳角,阴角,三通。
二、在电源和插座处留够线头后把电线放底板里,扣上盖板,放电线和扣底板同时进行,底板的接口和盖板的接口要错开。排灯线时零线不经过开关,直接连接灯头和电源;火线必须进开关,开关处要留足够的线头。
三、线槽不够长需要接续的时候按需要截取线槽,工具可以用美工刀,也可以用斜口钳,底板和盖板同时截取时可以用钢锯。
用护套线布线,可直接敷设在空心楼板内和墙面上,先用铅笔和木匠用墨斗画线定位,用钢精扎头或塑料线卡固定,线卡间距20cm,必须做到横平竖直平服,布线时尽量收紧。在同一墙面上拐弯时,必须保持垂直。拐弯处弯曲半径是护套线宽度的3到4倍,十字交叉时上下左右各安一个线卡。
一般要求:1、护套线在布线时如果不够长,不允许线芯与线芯直接连接,而是采用接线盒、插座、开关等接线柱来连接。
2、护套线穿过梁、墙、楼板和跨越线路等处应有保护管,管子两头要各安一个线卡。跨越建筑物沉降缝的导线两端应固定可靠,并在缝隙间留有适当余量。
3、不应直接埋入抹灰层内暗敷设及不得在室外露天场所明配敷设。
4、塑料护套线进入接线盒或与电气器具连接时,护套线应引入盒内150-200mm。
暗线工艺的一般流程是划线定位→开槽→安装底盒→布管→穿线→中期验收→封槽→灯具安装→安装开关面板和插座面板。划线定位
根据设计图纸上电线的走向进行划线定位,传统划线工具有木匠墨斗,现代划线工具有激光划线仪、集测距放线于一身的激光测距仪,暗盒定位、明线开关插座的定位用盒尺和铅笔。
传统墨斗手动收线,不会自动收线,现在有会自动收线的墨斗,有使墨汁的,有使墨粉的。使用墨斗时一般用两人进行弹线,墨斗要两只。弹线时,两个手里各拿一支,把两只墨斗里的线连在一起。这样,一人转动墨斗上的轮子,使墨线的一端回墨,另一人手里的墨线,已经粘上墨汁,就可进行弹线。这样,通过墨线的来往,就可以弹线了。这种弹线方法,既节约了时间,又避免了来回走动。
激光划线仪又叫激光标线仪,特点是:投射出激光线宽度控制在6mm以内,只需220V电源,可使用于高温环境中。使用激光划线仪,要注意的是因为激光器是中等功率激光器,操作不当会对眼睛造成损伤,平时要对激光器的管理专人专责,使用时必须采取保护眼的安全措施,比如说根据激光器的波长,选用光密度合适的保护眼镜。
开槽
确定开槽宽度:根据 PVC 管的管径,进而确定槽的宽度。若选用 16mm 的 PVC 管,则开槽深度为 20mm ;若选用 20mm 的 PVC 管,则开槽深度为 25mm 。轻体墙横向开槽不超过50cm;承重墙上不允许横向开槽;内保温墙横向开槽不超过100cm。
开槽原则:
①路线最短原则;
②不破坏原有强电原则;
③不破坏防水原则。
施工规范要求横平竖直,不按施工规范施工的话会出现以下问题:
1.操作时不按要求施工,所开的槽像蜘蛛网般,横七竖八,杂乱无章,尤其是出现斜槽。后果就是曾经开过槽的墙上会出现裂缝,而且裂缝的范围会逐渐向四处扩散。
2.所开槽深浅不一,不按要求进行,造成线管被埋入后薄厚不均,影响日后使用;同时,会影响墙面的平整度。
暗盒的安装
暗盒的选择和安装是最容易被忽略的,也是最不应该被忽视的,因为暗盒一旦坏了处理起来很麻烦,装歪的话装上开关插座后特别难看,一定要装正。
暗盒有方形的和圆形的,常用的是方形86的,选择方法:
一、尺寸精确,包括螺钉间距、标准大小的6分管、4分管接孔等。尺寸不够精确的暗盒,可能造成开关插座安装不牢固或暗盒内部漏浆(墙壁内的沙石渗入)。
二、采用防冲击、耐高温、阻燃性好、抗腐蚀的绝缘材料。
三、高质量的螺钉口。螺钉口最差地也得用金属螺钉口,网上把金属螺钉口叫小耳朵的比较多,全塑料的那种换不了几个插座或开关螺钉口就不行了。干活不操心的话很容易损坏小耳朵,经常会有一个完好一个没有的情况出现。
四、较大的内部空间。暗盒内部空间大,能减少电线缠结,利于散热。
安装:
1、先在预定的地方打出一个100mm*100mm,深600mm-700mm左右的坑槽,同时开出预埋线槽。
2、电线管进入暗盒时要安上入盒接头和入盒锁扣,锁扣的主要目的是避免把电线拉破皮,管子切面比较锋利,而锁扣口是钝的。穿线后把暗盒放入坑槽里。
3、在暗盒四周糊上水泥进行固定,将电线沟槽也用水泥覆盖抹平。待水泥干后,再接上插座面板并粉刷墙壁。至此,施工完毕。
固定暗盒的方法有很多:水泥沙浆、发泡胶、做石膏阴角线用的石膏粉等。
1、最常用的是使用水泥沙浆进行固定,配比有1:1的,有1:2的,有1:3的,要保持与墙面的平整度。
2、用水性石膏粉,有的施工规范禁止此项工艺。
3、使用发泡胶。缺点是如果干不好的话会出现有的边上不实在,安插座的时候劲大点,里面就会塌,需要重新返工。需要注意的是普通发泡胶不防火,存在消防隐患,出于消防安全上的考虑,建议使用B2级别以上的防火发泡胶,比如说防火门专用发泡胶。
装修时有的会用到轻钢龙骨墙,简单地说就是用轻质钢骨做骨架,外包水泥板和石膏板的一种墙,这种墙也可以叫夹心饼干。好处就是电线不用开槽,只要在设计好的地方将插座暗盒的孔挖出来就行了。
暗盒的选择和安装是最容易被忽略的,也是最不应该被忽视的,因为暗盒一旦坏了处理起来很麻烦,装歪的话装上开关插座后特别难看,一定要装正。
暗盒有方形的和圆形的,常用的是方形86的,选择方法:
一、尺寸精确,包括螺钉间距、标准大小的6分管、4分管接孔等。尺寸不够精确的暗盒,可能造成开关插座安装不牢固或暗盒内部漏浆(墙壁内的沙石渗入)。
二、采用防冲击、耐高温、阻燃性好、抗腐蚀的绝缘材料。
三、高质量的螺钉口。螺钉口最差地也得用金属螺钉口,网上把金属螺钉口叫小耳朵的比较多,全塑料的那种换不了几个插座或开关螺钉口就不行了。干活不操心的话很容易损坏小耳朵,经常会有一个完好一个没有的情况出现。
四、较大的内部空间。暗盒内部空间大,能减少电线缠结,利于散热。
安装:
1、先在预定的地方打出一个100mm*100mm,深600mm-700mm左右的坑槽,同时开出预埋线槽。
2、电线管进入暗盒时要安上入盒接头和入盒锁扣,锁扣的主要目的是避免把电线拉破皮,管子切面比较锋利,而锁扣口是钝的。穿线后把暗盒放入坑槽里。
3、在暗盒四周糊上水泥进行固定,将电线沟槽也用水泥覆盖抹平。待水泥干后,再接上插座面板并粉刷墙壁。至此,施工完毕。
固定暗盒的方法有很多:水泥沙浆、发泡胶、做石膏阴角线用的石膏粉等。
1、最常用的是使用水泥沙浆进行固定,配比有1:1的,有1:2的,有1:3的,要保持与墙面的平整度。
2、用水性石膏粉,有的施工规范禁止此项工艺。
3、使用发泡胶。缺点是如果干不好的话会出现有的边上不实在,安插座的时候劲大点,里面就会塌,需要重新返工。需要注意的是普通发泡胶不防火,存在消防隐患,出于消防安全上的考虑,建议使用B2级别以上的防火发泡胶,比如说防火门专用发泡胶。
装修时有的会用到轻钢龙骨墙,简单地说就是用轻质钢骨做骨架,外包水泥板和石膏板的一种墙,这种墙也可以叫夹心饼干。好处就是电线不用开槽,只要在设计好的地方将插座暗盒的孔挖出来就行了。
布管穿线后就开始中期验收,发现问题可以及时解决,一旦封槽后就没有后悔药卖了。室内配电箱的验收:
1. 控制开关及保护装置的规格、型号符合设计要求;
2. 箱体内各汇流排齐全,排列合理绝缘良好。接线线色正确、导线接头平齐、不得绞接。
3. 配电箱内总开关容量低于电表箱内容量。各回路开关应与该回路容量匹配。配电箱内各回路标志明确、清晰、清楚、工整,接线整齐,线头不得露在外面。
4. 安装标准是1800mm,方便使用。
根据墙体结构确定是否可以开槽,简单的方法是承重墙不能开槽,非承重墙可以开槽。开槽深度没有一定的标准,有线管敷设后低于墙面5mm的,有线管直径加10mm的,有开槽大约2cm,再加上2cm的抹灰、腻子、涂料作保护层的。除在合同上写上确定的具体开槽深度,是地面开槽还是墙上开槽还是地面墙上都开槽外,验收时需要确定:
1、开槽深度是否一致。
2、开槽位置是否合理。
3、是否横平竖直,墙上是否有斜槽,一般情况下墙上不准有斜槽。
4、是否伤到墙里面的钢筋,钢筋受伤情况的汇总,补救措施是否到位。正常情况下是不准伤到墙里面的钢筋,以免损伤墙体结构,影响抗震和防雷。
5、线槽有没有漏掉没开的。
6、墙上是否有横槽,一般情况下墙上不准有横槽,尤其是承受水平力的剪力墙。
7、地面是否开槽。根据地砖和木地板的安装工艺不同确定是否真的需要在地面开槽,比如说铺实木地板的话没必要地面开槽。卫生间的地面有防水层,是不允许地面开槽的,以免破坏防水层。
8、地面开槽是否伤到地面里的钢筋保护层。地面开槽一般只开到找平层,不能伤到地面里面的钢筋。
布管验收时需要确定:
1、管子90度拐弯时是否使用弯头,使用弯头的话电线拉不动,规范做法是使用弯管器或弹簧弯管直接把管子弯成90度。
2、分线是否用接线盒过渡。使用三通防碍穿线、换线,须用接线盒过渡,不能用三通。
3、管子进入暗盒是否使用入盒锁扣,锁扣主要是防止后期电线与底盒之间的摩擦,防止损伤电线。《建筑电气工程验收规范》2011版15.2.1规定:管口应有保护措施,所以管子进入暗盒必须使用入盒锁扣。
4、管子是否避开家具的摆放位置。没有避开的话安装插座开关后使用起来不方便甚至被家具挡住后没法用。
5、电线管和水管,燃气管、暖气管之间的间距是否符合设计图纸的要求。
穿线的验收时需要确定:
1、电线是否套管。不套管的话会因电线老化而导致电线破损造成电线短路;同时,一旦出现电线断掉的情况根本无法换线,只有改明线。
2、是否是活线。穿管的管线应该每一根都用手拽一下,尤其是地上的电线管里的电线,看能否拽动,如果拽不动就是死线,更换线路就麻烦了。
3、强弱电是否分开。强弱电必须分开,以免弱电信号被干扰。国标是50cm,没有这个条件的最低20cm。强电在上弱电在下,尽量避免互相交叉。
4、是否按照设计规定敷设导线。电线过细容易过载发生火灾,电线过粗容易造成负荷能力上的浪费。
5、电线是否分色,使用回路标识。不分色的话一旦需要检修,就分不清哪根是哪根,是干什么用的。回路标识上写的有不同回路的名称,不使用回路标识的话就分不清哪根线属于哪个回路,容易连错线,造成事故。
6、是否重复布线。重复布线浪费人力物力,一旦线路出现问题,在有如“天罗地网”的布局中很难检测。
7、不同回路的电线,不应穿于同一导管内,管内电线不得有接头。电线横截面积不能超过电线管的40%,由此测算,2.5平方的线穿16的管子不能超过2根,穿20的管子不能超过3根;4平方的线穿20的管子不能超过两根。
8、电线接头是否搪锡。电线挂锡主要作用是使电线接头全部安全牢固的链接在一起,彻底杜绝普通工艺由于链接效果不好,而造成的打火短路现象。 在施工中有不搪锡使压线帽的,有先连接后搪锡的,有不搪锡的。
9、用500V兆欧表测试各回路绝缘电阻值,线间绝缘或线与地之间的绝缘必须在0.5MΩ以上,不达标的电线可能会被击穿。
1. 控制开关及保护装置的规格、型号符合设计要求;
2. 箱体内各汇流排齐全,排列合理绝缘良好。接线线色正确、导线接头平齐、不得绞接。
3. 配电箱内总开关容量低于电表箱内容量。各回路开关应与该回路容量匹配。配电箱内各回路标志明确、清晰、清楚、工整,接线整齐,线头不得露在外面。
4. 安装标准是1800mm,方便使用。
根据墙体结构确定是否可以开槽,简单的方法是承重墙不能开槽,非承重墙可以开槽。开槽深度没有一定的标准,有线管敷设后低于墙面5mm的,有线管直径加10mm的,有开槽大约2cm,再加上2cm的抹灰、腻子、涂料作保护层的。除在合同上写上确定的具体开槽深度,是地面开槽还是墙上开槽还是地面墙上都开槽外,验收时需要确定:
1、开槽深度是否一致。
2、开槽位置是否合理。
3、是否横平竖直,墙上是否有斜槽,一般情况下墙上不准有斜槽。
4、是否伤到墙里面的钢筋,钢筋受伤情况的汇总,补救措施是否到位。正常情况下是不准伤到墙里面的钢筋,以免损伤墙体结构,影响抗震和防雷。
5、线槽有没有漏掉没开的。
6、墙上是否有横槽,一般情况下墙上不准有横槽,尤其是承受水平力的剪力墙。
7、地面是否开槽。根据地砖和木地板的安装工艺不同确定是否真的需要在地面开槽,比如说铺实木地板的话没必要地面开槽。卫生间的地面有防水层,是不允许地面开槽的,以免破坏防水层。
8、地面开槽是否伤到地面里的钢筋保护层。地面开槽一般只开到找平层,不能伤到地面里面的钢筋。
布管验收时需要确定:
1、管子90度拐弯时是否使用弯头,使用弯头的话电线拉不动,规范做法是使用弯管器或弹簧弯管直接把管子弯成90度。
2、分线是否用接线盒过渡。使用三通防碍穿线、换线,须用接线盒过渡,不能用三通。
3、管子进入暗盒是否使用入盒锁扣,锁扣主要是防止后期电线与底盒之间的摩擦,防止损伤电线。《建筑电气工程验收规范》2011版15.2.1规定:管口应有保护措施,所以管子进入暗盒必须使用入盒锁扣。
4、管子是否避开家具的摆放位置。没有避开的话安装插座开关后使用起来不方便甚至被家具挡住后没法用。
5、电线管和水管,燃气管、暖气管之间的间距是否符合设计图纸的要求。
穿线的验收时需要确定:
1、电线是否套管。不套管的话会因电线老化而导致电线破损造成电线短路;同时,一旦出现电线断掉的情况根本无法换线,只有改明线。
2、是否是活线。穿管的管线应该每一根都用手拽一下,尤其是地上的电线管里的电线,看能否拽动,如果拽不动就是死线,更换线路就麻烦了。
3、强弱电是否分开。强弱电必须分开,以免弱电信号被干扰。国标是50cm,没有这个条件的最低20cm。强电在上弱电在下,尽量避免互相交叉。
4、是否按照设计规定敷设导线。电线过细容易过载发生火灾,电线过粗容易造成负荷能力上的浪费。
5、电线是否分色,使用回路标识。不分色的话一旦需要检修,就分不清哪根是哪根,是干什么用的。回路标识上写的有不同回路的名称,不使用回路标识的话就分不清哪根线属于哪个回路,容易连错线,造成事故。
6、是否重复布线。重复布线浪费人力物力,一旦线路出现问题,在有如“天罗地网”的布局中很难检测。
7、不同回路的电线,不应穿于同一导管内,管内电线不得有接头。电线横截面积不能超过电线管的40%,由此测算,2.5平方的线穿16的管子不能超过2根,穿20的管子不能超过3根;4平方的线穿20的管子不能超过两根。
8、电线接头是否搪锡。电线挂锡主要作用是使电线接头全部安全牢固的链接在一起,彻底杜绝普通工艺由于链接效果不好,而造成的打火短路现象。 在施工中有不搪锡使压线帽的,有先连接后搪锡的,有不搪锡的。
9、用500V兆欧表测试各回路绝缘电阻值,线间绝缘或线与地之间的绝缘必须在0.5MΩ以上,不达标的电线可能会被击穿。
封槽
一般都用水泥沙浆封槽。《建筑电气工程验收规范》2011版14.1.4规定:当绝缘导管在砌体上剔槽埋设时,应采用强度等级不小于 M10 的水泥砂浆抹面保护,保护层厚度大于 15mm。
封槽工艺:
1、将布好的线管开的线槽内部清理干净,用毛刷去除浮尘,用喷壶喷水潮湿槽基。
2、用水泥封填槽基,待充填材料半凝固时,用刮刀去除高出原墙面的多余部分。
3、在水泥表面重复洒水养护,直至水泥完全固化。
4、封槽后的墙面、地面不得高于所在平面。
5、线路封槽不要留间隙,否则以后缝隙处受压过久之后会导致一些难以修正的结果出现,轻则裂缝,重则塌陷。
水泥的特性是不能太薄,太薄了会空鼓、开裂,当水泥的厚度过薄,丧失水分的速度会比较快,如果养护跟不上的话,开裂的可能性就很大。因为这个原因,有用石膏封槽的,这一点有偷懒的嫌疑。石膏有个特性,不能太厚,厚了就容易开裂。所以说槽深的用水泥,槽浅的用石膏。普通的石膏分成两种:高强石膏和装饰石膏,这两种一般都是用来给墙面粗略找平的。某些装修公司的做法是厨卫用水泥砂浆来填槽,客厅卧室采用石膏填槽。
在水泥的干燥、发酵过程中,会发热,会把杂质崩开。石膏相对水泥来说就是杂质,水泥如果遇到填槽里的石膏,必然会产生影响。
1、石膏可以控制水泥的水化反应速度,因此水泥缓凝剂生产工艺里有用石膏生产水泥缓凝剂的工艺。水泥如果遇到填槽里的石膏,石膏会不会变成水泥缓凝剂,减缓水泥的硬化速度呢?
2、已经硬化的水泥遇到石膏会有什么现象有两种说法:一种是石膏的主要化学成分为硫酸钙(CaSO4)的水合物,在有水的条件下就会对水泥产生硫酸盐侵蚀。另一种说法是在水泥硬化的过程中石膏起作用,硬化完成后石膏就不会有多大的影响。这两种说法不知道哪种说得对,这一点不知道有没有权威的说法。
基于上面两点疑问,我对使用石膏封槽的做法存疑。
一般都用水泥沙浆封槽。《建筑电气工程验收规范》2011版14.1.4规定:当绝缘导管在砌体上剔槽埋设时,应采用强度等级不小于 M10 的水泥砂浆抹面保护,保护层厚度大于 15mm。
封槽工艺:
1、将布好的线管开的线槽内部清理干净,用毛刷去除浮尘,用喷壶喷水潮湿槽基。
2、用水泥封填槽基,待充填材料半凝固时,用刮刀去除高出原墙面的多余部分。
3、在水泥表面重复洒水养护,直至水泥完全固化。
4、封槽后的墙面、地面不得高于所在平面。
5、线路封槽不要留间隙,否则以后缝隙处受压过久之后会导致一些难以修正的结果出现,轻则裂缝,重则塌陷。
水泥的特性是不能太薄,太薄了会空鼓、开裂,当水泥的厚度过薄,丧失水分的速度会比较快,如果养护跟不上的话,开裂的可能性就很大。因为这个原因,有用石膏封槽的,这一点有偷懒的嫌疑。石膏有个特性,不能太厚,厚了就容易开裂。所以说槽深的用水泥,槽浅的用石膏。普通的石膏分成两种:高强石膏和装饰石膏,这两种一般都是用来给墙面粗略找平的。某些装修公司的做法是厨卫用水泥砂浆来填槽,客厅卧室采用石膏填槽。
在水泥的干燥、发酵过程中,会发热,会把杂质崩开。石膏相对水泥来说就是杂质,水泥如果遇到填槽里的石膏,必然会产生影响。
1、石膏可以控制水泥的水化反应速度,因此水泥缓凝剂生产工艺里有用石膏生产水泥缓凝剂的工艺。水泥如果遇到填槽里的石膏,石膏会不会变成水泥缓凝剂,减缓水泥的硬化速度呢?
2、已经硬化的水泥遇到石膏会有什么现象有两种说法:一种是石膏的主要化学成分为硫酸钙(CaSO4)的水合物,在有水的条件下就会对水泥产生硫酸盐侵蚀。另一种说法是在水泥硬化的过程中石膏起作用,硬化完成后石膏就不会有多大的影响。这两种说法不知道哪种说得对,这一点不知道有没有权威的说法。
基于上面两点疑问,我对使用石膏封槽的做法存疑。


返回顶部
刷新页面
下到页底