P1.0、P1.1和P1.2是单片机的3个I/O脚;
RK为100k的精密电阻;
RT为100K-精度为1%的热敏电阻;
R1为100Ω的普通电阻;
C1为0.1μ的瓷介电容。
其工作原理为:
先将P1.0、P1.1、P1.2都设为低电平输出,使C1放电至放完。
将P1.1、P1.2设置为输入状态,P1.0设为高电平输出,通过RK电阻对C1充电,单片机内部计时器清零并开始计时,检测P1.2口状态,当P1.2口检测为高电平时,即C1上的电压达到单片机高电平输入的门嵌电压时,单片机计时器记录下从开始充电到P1.2口转变为高电平的时间T1。
将P1.0、P1.1、P1.2都设为低电平输出,使C1放电至放完。
再将P1.0、P1.2设置为输入状态,P1.1设为高电平输出,通过RT电阻对C1充电,单片机内部计时器清零并开始计时,检测P1.2口状态,当P1.2口检测为高电平时,单片机计时器记录下从开始充电到P1.2口转变为高电平的时间T2。
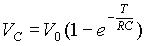
从电容的电压公式:
可以得到:T1/RK=T2/RT,即 RT=T2×RK/T1
通过单片机计算得到热敏电阻RT的阻值。并通过查表法可以得到温度值。
从上面所述可以看出,该测温电路的误差来源于这几个方面:单片机的定时器精度,RK电阻的精度,热敏电阻RT的精度,而与单片机的输出电压值、门嵌电压值、电容精度无关。因此,适当选取热敏电阻和精密电阻的精度,单片机的工作频率够高,就可以得到较好的测温精度。
当单片机选用4M工作频率,RK、RT均为1%精度的电阻时,温度误差可以做到小于1℃。
如果P1.2具有外部上升沿中断的功能,程序可以更简单,效果更好。


返回顶部
刷新页面
下到页底