作者:朱宇、李先驰,复旦大学
来源:中兴通讯技术
摘要:针对宽带多天线毫米波系统面临的频率选择性信道衰落和硬件实现约束,提出结合单载波频域均衡技术的数模混合波束赋形算法。以均衡器输出信号的最小均方误差为准则,优化波束赋形矩阵和均衡器的系数。为降低求解复杂度,应用迭代天线阵列训练技术将原始优化问题分解为在基站和用户端的本地优化问题,使需优化的系数通过通信两端的交替迭代处理获得收敛。仿真表明:提出的新算法在误比特率为10-4 时较传统算法在信噪比上具有约2 dB 的性能增益。
关键词:毫米波通信;单载波频域均衡;数模混合波束赋形;迭代天线阵列训练
从无线移动通信发展的脉络来看,第1、2 代(1G、2G)先后分别从模拟和数字两种方式解决了人们之间的语音通信需求,第3 代(3G)开始增加对数据业务的支持,第4 代(4G)系统着重满足人们日益增长的数据业务的需求,未来的第5 代移动通信系统(5G)除了继续支持更高传输速率的用户数据业务需求,伴随物联网的飞速发展,还需要支持大量智能设备的接入和连接,来支撑包括智能电网、智慧家庭、智慧城市、虚拟现实、远程教育、远程医疗等多元化的新型业务。预计到2020 年将有超过500 亿台的智能设备联入无线网络,无线网络的数据容量将会是现在的1 000 倍[1-4]。为了满足到2020 年能达到1 000 倍的容量提升,目前比较公认的解决问题的3 个维度分别是[1-4]:采用更高通信频段以获得更大的通信带宽,增加频谱利用率,划分高密度小区来进行频率复用。
宽带毫米波通信与这3 个维度都有着非常紧密的结合:首先毫米波频段定义在30~300 GHz 的范围,这一频段可以提供数百兆赫兹乃至数吉赫兹的通信带宽,是解决容量的最直接路径;其次,从提高频谱利用率的角度来看,大规模天线被公认为是一种有效的技术[1-6],现有通信频段因为其波长在分米或厘米级,受尺寸和体积限制,很难形成大规模天线阵列,而毫米波的天然属性决定了其与大规模天线结合的有效性;最后,传统上人们认为毫米波通信由于频率高而产生的路径损耗大、传输距离短的弱点恰好成为高密度小区频率复用的优点[6]。目前商用的毫米波通信标准和系统大多限于60 GHz 免费频段的室内通信,例如:IEEE 802.15.3c[7] 和802.11ad 标准[8]。随着微电子技术的发展,以及人们对移动通信业务日益增加的迫切需求,毫米波通信已经成为了应用于半径200 m 区域内的室外无线移动通信的非常重要的候选技术之一[1-4]。
然而,毫米波频段信号的传播特性为系统设计也带来了新的问题与挑战,在相同天线增益的条件下,毫米波相对于6 GHz 以下微波频段路径损耗大,透射绕射能力差[3-6]。为应对这一问题,毫米波系统通常需要在收发端配置十几乃至上百根天线组成阵列获得高方向性的增益,来弥补其在传输上的能量损耗。因此,具备自适应波束赋形(BF)的多天线设计是保证毫米波微小区覆盖的首要必备技术[3-6]。
相比现有6 GHz 以下频段的移动通信系统,宽带毫米波系统在BF 设计上具有3 个方面的不同与挑战:首先,系统多天线传输的实现方式会受到硬件成本和功率开销的限制。与现有移动通信系统相比,毫米波系统数百兆赫兹乃至数吉赫兹的通信带宽大大增加了硬件成本和功耗。以模数转换器(A/D)为例,基于最新互补金属氧化物半导体(CMOS)工艺制作的具有12 bits 精度、100 Ms/s 采样率,并且支持16 路天线的A/D 的功耗大于250 mW[5]。在这些约束下,不可能为每根天线都配置一套射频(RF)链路,因此,实际毫米波多天线技术很难采用全数字实现方案[9]。其次,毫米波系统中天线阵列规模很大,天线数目达到十几甚至上百,大规模天线的使用虽然增加了系统设计的自由度,但是也使得BF 矩阵优化问题变得更加复杂。最后,相比6 GHz 以下频段的移动通信系统,毫米波信道在延时和角度域上都具有稀疏性,这一特性为降低BF 设计的复杂度提供了一条有效途径,但同时也为问题的求解带来了新的挑战[9]。基于上述3点,研究者提出了将模拟电路与数字电路相结合的基于数模混合信号处理的混合BF(HBF)方式。HBF 也逐渐引起了学术界和工业界的广泛关注,逐步成为毫米波通信的一项关键技术。
1、毫米波HBF 研究现状
图1 以基站到用户的毫米波下行链路为例展示了单用户多个数据流传输的HBF 示意[9-11]。

图1、毫米波数模混合波束赋形示意
图1 中用红色标记的矩阵FBB 和FRF 分别为基站端数字和模拟BF 矩阵,用蓝色标记的矩阵WBB 和WRF 分别为用户端数字和模拟BF 矩阵。
相比现有6 GHz 以下频段无线通信系统通常采纳的全数字BF 结构,毫米波系统中HBF 有以下几个不同点和难点:随着天线数目的增大,HBF 矩阵规模增大,优化难度和计算复杂度增加;HBF 的优化,特别是对模拟信号的处理,需要考虑模拟电路的实现方式和模拟器件的特性,如相移器[9-11]、选通开关[12]、相移器与放大器相结合[13]等;HBF 的结构给信道估计带来了新的挑战,这是因为在数字域上能估计出的信道是实际空口信道与模拟BF 矩阵的级联。毫米波传输在延时和角度域的双重稀疏性也为信道估计和HBF 矩阵求解带来了新的挑战。在宽带系统中,不同于数字BF,模拟BF 因为是对数模转换器(D/A)后、A/D 前的模拟信号进行处理,其对带宽内所有子载波(若对单载波通信而言对应信号的所有频率分量)的处理都是一致的[14-15]。
现有的HBF 设计研究主要集中在窄带衰落模型[9-12],并且以系统互信息为优化目标,即:
(1)
其中,接收信号功率做了归一化处理,Rn 定义为接收端HBF 处理后的噪声协方差矩阵。如图1 所示,当模拟BF 由移相器和加法器构成时,矩阵FRF 和WRF 各元素具有模为1 的约束(仅相位参数可以优化)[9-11]。模拟BF有两种方式,即全连接[9-11]和部分连接[15],体现在矩阵FRF 和WRF 在前一种方式下每一个元素都需要被优化,而在后一种方式中呈现为块对角矩阵的形式。目前对于式(1)中问题的主流解决方案有两种,先固定WBB 和WRF,然后优化FBB 和FRF,具体而言:
(1)文献[9-10]利用毫米波信道的角度域稀疏特性,将FBB 和FRF 的求解问题转化为稀疏近似问题,并利用正交匹配追踪(OMP)算法进行求解,其算法的局限性在于FRF 中列向量的取值范围和空间波束角度的标签相对应,因此自由度受限。另外,这一算法在求解的过程中还需要完全信道信息。
(2)文献[11]认为在大规模MIMO系统中,可以采用FRF 各列相互正交的假设,这样就可以将FBB 和FRF 的联合优化拆解为对两者的逐级优化。与第1 种算法相比,该算法不依赖于信道的稀疏性,对FRF 中的列向量并无标签形式的要求;但该算法基于大规模天线的假设,其性能依赖于天线数目、RF 链路数目、基带数据流数目的相互关系。这一算法也需要完全的信道信息。
在窄带HBF 的基础上,研究者提出结合正交频分复用(OFDM)的宽带HBF 算法,来对抗宽带毫米波信道的频率选择性衰落,其优化目标也扩展为最大化多个子载波上的速率和[14-15]
(2)
其中
。需要注意的是:不同于数字BF 矩阵FBB[k]和WBB[k]与子载波索引号k 相关,模拟BF 矩阵FRF 和WRF 的取值与子载波索引号k 无关。现有对式(2)中问题的求解方法延续了HBF 在窄带衰落下的设计思路,但是模拟BF 矩阵在窄带下被限定为标签的形式[9-10],或者具有近似正交性质的假设[11]在宽带通信场景下是否合适,或是否近似最优将有待进一步证明。此外,现有的宽带算法仍然需要完全的信道状态信息,这会进一步降低了算法的实用性。
2、单载波宽带毫米波系统中的HBF
单载波频域均衡(SC-FDE)和OFDM 是目前公认的能有效对抗信道频率选择性衰落的主要技术[16-17],其中SC-FDE 因为采用了单载波传输方式,发送信号的峰均功率比较低的特性被第3 代合作伙伴计划(3GPP)长期演进(LTE)/增强的LTE(LTE-A)标准采纳为上行传输方案[18]。在宽带毫米波通信系统中,从实现成本和器件功耗上来考虑,为达到支持几百兆赫兹乃至几个吉赫兹的通信宽带,A/D 的精度必然有所牺牲,单载波调制相对多载波调制具有相对较小的信号动态范围,可以降低对A/D 量化精度的要求[4-5]。图2 显示了在高斯信道下,单载波与多载波(以OFDM为例)在不同A/D 量化精度下的分别以四相相移键控(QPSK)和16 符号正交幅度调制(QAM)为调制方式的误码率(BER)性能对比,可以看出:OFDM 对A/D 量化精度的要求更高。从这一角度来说,单载波能很好地兼顾性能与硬件,实现复杂度的要求,因此成为毫米波微小区非常重要的候选空口方案之一[4-5]。目前结合SC-FDE 的宽带毫米波HBF 算法的相关研究还比较少,本文中我们将会以单数据流单个RF 链路场景为例阐述单载波宽带毫米波系统中HBF 优化问题的建模与求解。

图2、有限A/D 精度下单载波与多载波系统的性能对比(高斯信道)
2.1 系统模型
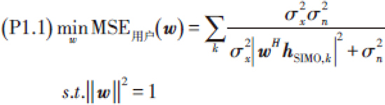
在单个RF 链路场景下,图1 中的HBF 优化问题退化为图3 中的模拟BF 向量的优化问题。不同之处在于:经过基站和用户的模拟BF 之后,原始的空口多输入多输出(MIMO)频率选择性衰落信道在基带上退化为一个单输入单输出(SISO)频率选择性衰落信道,需要进行频域均衡(FDE)处理。针对这一特点,我们提出将模拟BF 与数字FDE 相结合的数模混合信号处理,同时以最小化FDE输出信号的均方误差(MSE)为准则,对模拟BF 和数字FDE 的系数进行联合优化。

图3、单载波传输方式下毫米波模拟波束赋形
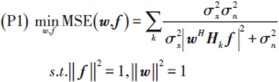
定义基站和用户的BF 向量分别为f 和w,那么在基带的等效SISO 信道的频率响应为wHHkf,其中Hk 是信道在第k 个频率分量上的响应矩阵。以线性FDE 为例,根据文献[19],可以得到采用最小均方误差(MMSE)准则的最优FDE 系数以及对应的MSE,显然它们都是f 和w 的函数。可以证明基于MMSE 准则的单载波HBF 优化问题可以建模为[19]:
(3)
其中
和
分别是信号和噪声功率。优化问题(P1)是一个非凸问题,很难得到最优解,而且直接求解也需要知道完全信道信息Hk。一种可能的优化方法是由用户先估计信道矩阵,然后基于某一算法得到f 和w 的次优解,再把f 结果反馈给基站。然而,这一方法不适用于毫米波系统,因为此时天线的大规模特性增加了信道估计的复杂度。此外,由于在信道估计时没有足够的天线和空间分集增益,用户的接收信噪比(SNR)非常低,为了保证信道估计的质量,需要采用较长的训练序列,从而增加了训练时间和训练开销。针对这一问题,我们采纳迭代天线阵列训练(IAT)技术[13],如图4 所示,利用时分双工(TDD)模式上、下行信道的互易性,通过固定通信链路一端BF 向量,优化另一端的BF 向量,将原问题拆解为在基站和用户两端的本地子优化问题,然后通过交替迭代优化,使得两端BF 向量能够最终收敛到全局或局部最优解。IAT 方法的优势在于可以将信道估计的复杂度从O(NtNrL)降低到O(NtL + NrL),其中Nt,Nr 分别代表基站和用户天线数,L 代表多径信道长度。
虽然基于IAT 技术的BF 算法在降低信道估计复杂度方面具有很大吸引力,但其在具体算法设计上仍存在相当的难度和挑战,例如:应该选择何种优化目标? 原始优化问题是否能够被拆解为两个子优化问题?收敛性是否能被证明等。我们已经证明(P1)问题可以采用IAT 方式拆解为在基站和用户端的两个本地子优化问题,并能最终收敛到原问题的一个次优解[19]。在阐述详细的求解步骤之前,我们在2.2 节中首先回顾传统的一种以信道总功率为优化目标的基于IAT 技术的迭代特征值分解算法[13],[20]。
2.2 传统算法
在配置单个RF 链路的毫米波系统中,文献[13]、[20]提出了以最大化等效SISO 多径信道的总功率为优化目标的单载波宽带模拟BF 算法。该优化问题可以建模为:
(4)
为了求解优化问题(P2),基于IAT 技术,在给定基站的发送BF 向量f 时,原始问题(P2)将退化为如下的在用户端的子优化问题[13],[20]:
(5)
其中HSIMO =[hSIMO,0 ... hSIMO,N -1] ,hSIMO,k =Hkf 是从基站RF 链路入口到用户天线阵列的等效单输入多输出(SIMO)信道。可以证明优化问题(P2.1)的最优解为
矩阵的最大特征值对应的特征向量[13]。
类似地,当给定用户的发送BF向量w 时,在基站端存在的子优化问题为:
(6)
其中HSIMO =[hSIMO,0 ... hSIMO,N -1] ,
是从基站天线阵列到用户RF 链路出口的等效多输入单输出(MISO)信道。子优化问题(P2.1)与(P2.2)具有同样的形式。最优的f为
矩阵的最大特征值对应的特征向量。
上述BF 设计以最大化信道总功率为目标,没有考虑等效SISO 信道频率选择性衰落的影响,相比这一传统算法,我们提出的以最小化均衡器输出信号的MSE 为目标的设计准则能够更好地符合系统的最终传输性能指标。
2.3 新算法
在2.1 节,我们提出将模拟BF 与数字FDE 进行联合优化,并以最小化FDE 输出信号的MSE 为准则的新算法。结合IAT 原理(图4 所示),我们将原问题(P1)做如下分解:当基站BF 向量f 固定时,优化问题(P1)退化为用户端w 的子优化问题。具体如式(7):
(7)

图4、基于IAT 技术的迭代优化算法示意
同样地,当用户在上行固定以w作为发射BF 向量时,根据TDD 上、下行信道的互易性,优化问题(P1)又可以退化为在基站端f 的子优化问题,即为:
(8)
我们在文献[19] 中证明了通过(P1.1)和(P1.2)之间的来回迭代优化,最终可以使f 与w 收敛到原问题(P1)的一个局部最优解。优化问题(P1.1)和(P1.2)仍然是非凸问题,难以获得全局最优解。我们可以采用经典的梯度下降算法来获得问题的局部最优解[21]。
由于(P1.1)、(P1.2)都是非凸问题,梯度下降算法能否收敛到一个较好的局部最优解取决于初始向量的选取。根据文献[21],本地优化问题的初始点可以通过解原始问题的一个近似(或者上下界)问题来获得。可以发现(P1)问题中的目标函数可以看成是多个分项的调和平均值的倒数,根据柯西不等式,它们大于等于其算术平均的倒数,而对这一算术平均的优化与(P2)的目标函数一致,因此一种对于(P1.1)、(P1.2)初始值选取的有效方法就是采用(P2)问题的解。
2.4 仿真结果
根据文献[14]和[15],第k 个频率分量上的MIMO 信道可以建模为:
(9)
其中NC 和NR 分别表示信道中路径簇的数目和每簇中路径的数目,
和
分别表示第l 个簇中第m 个路径的水平发射角度(AOD)和水平到达角度(AOA),αl,m 表示第l 个簇中第m个路径的传输复增益,
和
分别表示基站和用户的天线响应向量[14-15]。仿真中基站与用户各配置由16 根天线组成的间隔为半波长的线性天线阵,每个数据块包含64个QPSK 符号。
图5 展示了以最大化信道总功率为目标的传统算法和以MMSE 为目标的新算法在不同SNR 下的BER 性能曲线。为公平起见,两者的IAT 总迭代次数均设为6 次,在新算法中,根据2.3 节的阐述,仿真中以传统算法迭代两次后的结果作为新算法的初始向量,所以新算法的前两次IAT处理与传统算法相同。从图5 中可以看出:相比于传统算法,新算法能够更好地获得空间分集增益。例如:新算法在BER=10-4 时较传统算法有约2 dB 的SNR 增益。此外,我们还考虑实际系统中采用有限量化比特的相移器来实现BF,其操作是在原算法的基础上,在每一次迭代中仅保留BF 向量各元素的相位部分,而把模固定设为常数。图5 展示了当相位量化精度为Q=4 比特时的BER 性能。可以看出:两种算法因为有限精度相移器的实现方式都具有一定的性能损失,但新算法仍然较传统算法具有显著的性能增益。

图5、新算法与传统算法在不同信噪比下的误比特率性能
图6 对比了新算法与传统算法在不同迭代次数下的BER 性能,其中SNR 固定在-4 dB,从图中可以看出,因为新算法采用了传统算法的两次迭代处理来获得初始向量,所以两种算法在前两次迭代的性能完全相同,但是从第3 次开始,传统算法的性能增益十分有限,而新算法在第3 次迭代由于以MMSE 为目标,BER 性能迅速提升约一个量级,并且在随后的迭代中迅速收敛。

图6、新算法与现有算法在不同迭代次数下的误比特率性能
3、结束语
毫米波通信是能够保证5G 乃至未来更新一代无线移动通信系统获得容量极大提升的一项关键技术,而HBF 技术是在兼顾硬件实现成本与功耗的情况下,保证毫米波系统能够利用其大规模天线阵列的优势克服传输功率损耗与信道衰落影响的重要研究问题。在文章中,我们在回顾现有毫米波HBF 研究进展的基础上,针对毫米波信道频率选择性衰落以及系统在射频链路上的硬件制约,提出了SC-FDE 与HBF 联合优化的设计思路,建立了以最小化信道均衡MSE为准则的单载波传输方式下的毫米波HBF 优化问题。在对问题的求解中,考虑大规模多径MIMO 信道进行估计的复杂度,我们应用IAT 方法,将原问题分解为在基站和用户两端的两个本地子优化问题,利用TDD上、下行信道的互易性,通过交替迭代处理的方式可以保证两端能收敛到局部最优解。数值仿真结果表明:新算法较传统算法可以在SNR 上具有2 dB 以上的性能增益。
在未来工作中,我们会将文中提到的单个RF 链路、单数据流的系统模型拓展到多个RF 链路、多个数据流的场景,并利用IAT 方法设计针对这一场景的HBF 算法。我们也会考虑在多用户场景下利用毫米波信道延时域和角度域的双重稀疏性的特点,以多用户MSE 为优化性能指标,结合IAT 技术,设计高效的宽带毫米波数模混合多用户接入算法,增强系统的多用户空间接入能力。此外,现有的HBF 研究大都假设理想的信道估计,精确的A/D 转换,高精度的相移器,但实际中这些参数或者器件的非理想性都会对系统性能带来影响,研究鲁棒的HBF 设计也具有重要的意义与应用价值。最后,以IAT 为基础的HBF 算法依赖于TDD 模式下上、下行信道的互易性,在实际系统中存在上、下行链路器件特性不一致的问题,如何进行更为有效的信道校准也是非常值得研究的重要问题。
致谢
文中图2 的仿真工作由复旦大学者鹏飞同学仿真完成,特此感谢!
参考文献
[1] 尤肖虎, 潘志文, 高西奇,等. 5G 移动通信发展趋势与若干关键技术[J]. 中国科学, 2014, 44(5): 551-563[2] 张平, 陶运铮, 张治. 5G 若干关键技术评述[J].通信学报, 2016, 37(7): 15-29
[3] ROH W, SEOL J Y, PARK J, et al. MillimeterWave Beamforming as an Enabling Technology for 5G Cellular Communications: Theoretical Feasibility and Prototype Results [J]. IEEE Communications Magazine, 2014, 52(2): 106-113. DOI: 10.1109/MCOM.2014.6736750
[4] GHOSH A, THOMAS T A, CUDAK M C, et al. Millimeter-Wave Enhanced Local Area Systems a High-Data-Rate Approach for Future Wireless Networks[J]. IEEE Journal on Selected Areas in Communications, 2014, 32(6): 1152-1163. DOI: 10.1109/JSAC.2014.2328111
[5] RANGAN S, T. RAPPAPORT S, ERKIP E. Millimeter-Wave Cellular Wireless Networks: Potentials and Challenges[J]. Proceedings of the IEEE, 2014, 102(3): 366-385. DOI: 10.1109/JPROC.2014.2299397
[6] SWINDLEHURST A L, AYANOGLU E, HEYDARI P, et al. Millimeter-Wave Massive MIMO: the Next Wireless Revolution? [J]. IEEE Communications Society, 2014, 52(9): 56-62. DOI: 10.1109/MCOM.2014.6894453
[7] Wireless Medium Access Control (MAC) and Physical Layer (PHY) Specifications for High Rate Wireless Personal Area Networks (WPANs):IEEE 802.15.3cTM[S]. IEEE, 2009
[8] Wireless LAN Medium Access Control (MAC) and Physical Layer (PHY) Specifications-Amendment 6: Enhancements for Very High Throughput in the 60 GHz Band., IEEE P802.11ad TM /D0.1 [S]. IEEE, 2010
[9] ALKHATEEB A, MO J, GONZALEZ-PRELCIC N, et al. MIMO Precoding and Combining Solutions for Millimeter-Wave Systems[J]. IEEE Communications Magazine, 2014, 52
(12):122-131. DOI: 10.1109/MCOM.2014.6979963 [10] AYACH O, RAJAGOPAL S, ABU-SURRA S, et al. Spatially Sparse Precoding in Millimeter Wave MIMO Systems[J]. IEEE Transactions on Wireless Communications, 2014, 13(3):1499-1513. DOI: 10.1109/TWC.2014.011714.130846
[11] SOHRABI F, YU W. Hybrid Digital and Analog Beamforming Design for Large-Scale Antenna Arrays[J]. IEEE Journal of Selected Topics in Signal Processing, 2016, 10(3):501-513. DOI: 10.1109/
JSTSP.2016.2520912
[12] RIAl R M, RUSU C, PRELCIC N G, et al. Hybrid MIMO Architectures for Millimeter Wave Communications: Phase Shifters or Switches?[J]. IEEE Access, 2016, 4: 247-267. DOI: 10.1109/ACCESS.2015.2514261
[13] XIA P, NIU H, OH J, et al. Practical Antenna Training for Millimeter Wave MIMO Communication[C]// Vehicular Technology Conference, 2008. VTC 2008-Fall. IEEE 68th. USA:IEEE, 2008. DOI: 10.1109/VETECF.2008.253
[14] ALKHATEEB A. Frequency Selective Hybrid Precoding for Limited Feedback Millimeter Wave Systems[J]. IEEE Transactions on Communications, 2016, 64(5):1801-1818. DOI: 10.1109/TCOMM.2016.2549517
[15] YU X, SHEN J-C, ZHANG J, et al. Alternating Minimization Algorithms for Hybrid Precoding in Millimeter Wave MIMO Systems[J]. IEEE Journal of Selected Topics in Signal Processing, 2016, 10(3): 485-500. DOI: 10.1109/JSTSP.2016.2523903
[16] WANG Z, MA X, GIANNAKIS G. OFDM or Single-Carrier Block Transmissions?[J]. IEEE Transactions on Communications, 2004,53(3): 380-394. DOI: 10.1109/TCOMM.2004.823586
[17] ZHU Y, ZHE P, ZHOU H, et al. Robust Single Carrier Frequency Domain Equalization with Imperfect Channel Knowledge[J]. IEEE Transactions on Wireless Communications, 2016, 15(9): 6091-6103. DOI: 10.1109/TWC.2016.2578332
[18] Evolved Universal Terrestrial Radio Access (E-UTRA); LTE Physical Layer; General Description : 3GPP TS 36.201 V12.1.0[S]. 3GPP, 2014
[19] LI X, ZHU Y, XIA P. Enhanced Analog Beamforming for Single Carrier Millimeter Wave MIMO Systems[J]. IEEE Transactions on Wireless Communications, 2017,(99). DOI: 10.1109/TWC.2017.2695599
[20] XIAO X, XIA X, JIN D. Iterative Eigenvalue Decomposition and Multipath-Grouping Tx/Rx Joint Beamformings for MillimeterWave Communications[J]. IEEE Transactions on Wireless Communications, 2015, 14(3):1595-1607. DOI: 10.1109/TWC.2014.2370637
[21] BOYD S , VANDENBERGHE L. Convex Optimization [M]. England: Cambridge University Press, 2004


返回顶部
刷新页面
下到页底