1、无线电信号传输中,电波传播损耗预测目的
掌握基站周围所有地点处接收信号的平均强度及变化特点,以便为网络覆盖的研究以及整个网络设计提供基础。
2、方法
根据测试数据分析归纳出基于不同环境的经验模型,在此基础上对模型进行校正,使其更加接近实际,更准确
3、确定传播环境的主要因素
(1)自然地形(高山、丘陵、平原、水域等)
(2)人工建筑的数量、高度、分布和材料特性
(3)该地区的植被特征
(4)天气状况
(5)自然和人为的电磁噪声状况
(6)系统的工作频率和移动台运动等因素
4、常用的几种室外电波传播损耗预测模型
(1)Hata模型
广泛使用的一种适用于宏蜂窝的中值路径损耗预测的传播模型。 根据应用频率的不同,分为Okumura-Hata 模型和COST 231 Hata模型。
(2)CCIR模型;
(3)LEE模型;
(4)COST 231 Walfisch-Ikegami 模型。
一、Okumura-Hata模型
1、适用范围:
频率范围f:150-1500MHz
基站天线高度Hb:30-200m
移动台高度Hm:1-10m
距离d:1-20km
2、路径损耗计算的经验公式
d — 基站天线和移动台天线之间的水平距离 (km);


二、COST 231-Hata模型
1、适用范围:
频率范围 f:1500-2000MHz
基站天线高度 Hb:30-200m
移动台高度 Hm:1-10m
距离 d:1-20km
2、路径损耗计算的经验公式

(2)频率衰减系数不同
COST-231Hata模型频率衰减因子为33.9
Okumura-Hata模型的频率衰减因子为26.16
(3)COST-231Hata模型还增加了一个大城市中心衰减,大城市中心地区路径损耗增加3dB。
三、CCIR模型
CCIR模型给出了反映自由空间路径损耗和地形引入的路径损耗联合效果的经验公式

1、优点
(1)模型中的主要参数易于根据测量值调整,适合本地无线传播环境,准确性高。
(2)路径损耗预测算法简单,计算速度快。
2、应用
无线通信系统
3、分类
(1)LEE宏蜂窝模型
(2)LEE微蜂窝模型
4、LEE宏蜂窝模型
基本思路
先把城市当成平坦的,只考虑人为建筑物的影响,在此基础上再把地形地貌的影响加进来;地形地貌影响的三种情况
(1)无阻挡
(2)有阻挡
(3)水面反射
无阻挡的情况
考虑地形影响,采用有效天线高度计算:
若
若


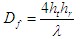
计算单个刃形边的衍射损耗如下:

考虑两种情况:
a.电波被阻挡,
接收功率(w)衰减系数
b.
计算单个刃形边的衍射损耗Lr


5、LEE微蜂窝模型
小区路径损耗预测公式为



1、应用
(1)用于建筑物高度近似一致的郊区和城区环境
(2)常用于移动通信系统(GSM/PCS/DECT/dcs)设计
(3)可计算基站发射天线高于、等于或低于周围建筑物等不同情况的路径损耗。
2、两种情况
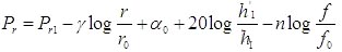
(1)视距传播情况,路径损耗
L1 —由沿屋顶下沿最近的衍射引起的衰落损耗
式中 w —接收机所在的街道宽度(m),
hR—建筑物的平均高度(m)
hm—接收天线的高度
φ—街区轴线于连结发射机和接收机天线的夹角
hB—发射天线高度, b—相邻行建筑物中心距离
基站和移动台之间水平距离d(km)
六、传播模型的使用及评价
1、 Hata模型
(1)参数易获得,模型易使用
(2)但未考虑建筑物的高度和密度、街道的分布和走向等重要因素的影响,预测值和实际值的误差较大
2、 CCIR模型
(1)考虑了建筑物密度的影响,引入参数B(被建筑物覆盖区域的百分比),且易获得LEE模型
(2)适用于有测试数据时。主要参数易于根据测量值调整,准确性高。
(3)算法简单,计算速度快
3、 COST 231-Walfisch-Ikegami 模型
(1)用于建筑物高度近似一致的郊区和城区环境
(2)发射天线可以高于、等于或低于周围建筑物
Tags:无线电,电波传播损耗,预测模型
责任编辑:admin无线电传播中相邻信道干扰
无线电中信噪比与带宽的互换关系
无线电中驻波比是什么?移动通信中的驻波比
无线电阴影衰落传播的基本特性
自由空间的无线电传播理论
麦克斯韦方程 Y2T45 电磁波之-光波导 电磁波导 FDTD算法
X和Ku波段小尺寸无线电设计
认知无线电(Cognitive Radio)的主要组成部分
天线基础知识及应用--链路及空间无线传播损耗计算
天线基础知识及应用--天线基本知识(补充)
天线基础知识及应用--天馈系统知识问答
微波基础知识,一文看懂巴伦(功能原理、性能参数、基本类型)
如何通过天线优化让无产品传输距离更远?
天线测试方法选择及评估
天线基础知识及应用--天线的分类与选择
天线分集技术的原理
盘点半导体技术在毫米波上的应用
详解DIY半波长振子无线发射检仪电路图
【推荐】动画演示无线电传播,史上最强的天线科普文,天线的作用…
- 此栏目下没有热点文章


返回顶部
刷新页面
下到页底