这是一个很有意思的问题,以下进行详细解答。
一.气体放电的基本原理
我们都知道空气的组成,约4/5是氮气,约1/5是氧气,还有其它气体。当未加载电压时,这些气体均以分子的形式出现,例如N2、O2等等。
气体受到电场或热能的作用,就会使中性气体原子中的电子获得足够的能量,以克服原子核对它的引力而成为自由电子,同时中性的原子或分子由于失去了带负电荷的电子而变成带正电荷的正离子。这种使中性的气体分子或原子释放电子形成正离子的过程叫做气体电离。
第一阶段:起始阶段
现在,我们把空气密封在一个放电管内,然后在放电管的两极之间加上电源电压,如下:
首先,我们将电源E电动势的电压置为最低值,我们看到,电流表的显示值是零。这是显然的,电路根本就不通嘛。
现在我们开始调节电源E的电动势,我们看到电流表中有一点电流了。
我们知道,空中是存在各种射线的,例如宇宙射线,太阳光线等等。气体分子在这些射线的轰击下,电子从原子核上剥离,形成电离。当然,已经电离的气体占总气体量的比值非常小。我们把这个比值叫做电离度。元素呈气态时,从它的一个原子或阳离子中将一个电子移至无穷远处时所需做的功,称为该元素的电离势,单位为电子伏特(ev)。气态电中性基态原子失去一个电子转化为气态基态正离子所需要的能量叫做第一电离能。简言之,第一电离能就是原子失去电子所需要的最低能量。
电离后的负离子也即电子奔向阳极,而丢失了电子的原子则形成了正离子,它们奔向阴极。但由于电离度太低,这些离子还没到达电极,就被复合了。所以此时的电流极小。
我们继续升高电压,我们发现,尽管电压调节的幅值比较大,但电流始终很小。这是因为宇宙射线的数量是固定的,因此虽然电压变化大,而电流变化不大。
我们看右图,我们看到起始阶段的曲线十分陡峭,其原因就在于此。
注意,右图的纵坐标是弧隙电压,不是电源电压。
我们继续调高电压,当到达一定阶段后,电流发生了突变,此时的电压叫做击穿电压Uc。
在起始阶段,由于气体的电离度很小,因此若把电源电压降低,则上述现象立即消失,这说明,这一过程是非自持的。
另外,注意到这一阶段的曲线是单调上升的。因为
,也即弧隙电压与电弧电流之比是正值,说明曲线对应的等效电阻Rh具有正阻特性。
现在,我们来研究一下阴极和阳极的:
两极当然是金属的(不过也不排除采用碳电极)。金属电极在电离过程中会出现什么情况呢?
1.热发射:金属因为温度升高电子逸出。
热发射与金属的沸点密切相关。沸点越高的金属,热发射的最大电流密度就越大。
2.场致发射:在高电场下,自由电子越过势垒而逸出。
当金属表面具有高电场时,自由电子穿过势垒逸出金属的现象。
场致发射对于低压电器的灭弧有重要意义。
3.光发射:当光线和射线照射到金属表面而引起的电子逸出。
4.二次发射:当高速正离子、电子和负离子撞击金属时,引起的电子发射。
电子的逸出,均与量子物理学有关。例如热发射的电流密度j表达式为:
这里的A1是系数,对于纯金属,它的值是100;Wyc是金属逸出功;T是金属表面温度,单位是K
与两极的金属电离不同,空间电离包括光电离和电场电离,还有热电离。
第二阶段:辉光阶段
气体击穿后,电离度当然增加了,大量的离子奔向两极。同时,也有大量的离子在空中复合为正常气体原子。
由于气体电离度增加,弧隙气体的等效电阻降低了,弧隙电压也降低了,而电流却增大了。如此一来,伏安特性曲线上任意点的等效电阻
,说明曲线对应的等效电阻Rh具有负阻特性。
我们知道,所谓离子复合,其实就是电子返回正离子的过程。当电子返回原子时,会把它携带的能量以光的形式发射出来。由于某种金属蒸汽原子的电离能是固定的,如果辉光区的介质中有某种金属蒸汽的话,那么它发出的光就是这种金属所特有。例如钠灯发出的光是黄白色的,而水银灯发出的光则是蓝白色的。
这个区域叫做辉光放电区。
辉光放电区的特点是:弧隙中整个空间都在放电,且温度不太高。阴极的压降大概在200V左右,而电流密度大概是
。
辉光放电发光体充满着整个气体放电管内,而且很美丽。
第三阶段:弧光阶段
1.电弧的基本形态描述
现在,我们继续加大电压,我们会发现一个现象:右侧伏安特性曲线中,弧隙的电压降低了,通过弧隙的电流增大了,现在曲线进入了弧光放电区域。
所谓弧光,其实就是电弧。
在电弧内部,会出现一种有趣现象:正负离子在奔向电极的途中,会在某个区域复合,然后再次热电离。这个区域叫做电子崩。由于正负离子复合会发出强光,所以电子崩的崩头就是电弧中发光较强的区域。
在阳极,电子轰击着阳极金属,形成了阳极斑点;在阴极,同样阳离子也轰击阴极金属,也出现阴极斑点。两者统称弧根根班。
我们来看电弧的电场分布:
中间图显示的是从阴极到阳极的电场分布情况。
我们知道,在阴极附近有大量的正离子存在,因此在近阴极区,电弧电场变化特别剧烈,我们看到了电压急剧上升;中间的弧柱区电压相对平稳;右侧的近阳极区又积聚了大量的电子,所以电弧电磁再次发生剧变,但程度上不如近阴极区。
下图是电弧自身的电场分布,我们看到近阴极区电场改变量极大,但宽度不如近阳极区;中间的弧柱区电压很平稳,说明弧柱区内其实就是一团等离子气体,它的特性近乎于金属导体;右边就是近阳极区,它的电场改变量较小,但宽度更宽。
2.电弧的伏安特性
当气体放电管中已经出现了电弧后,我们改变弧长或者调节电源电压,会发生什么现象呢?
(1)改变弧长后电弧的特性
我们发现,改变弧长后,电弧的电压Uh和电流Ih都增加,长弧曲线在短弧曲线的上方。
其意义也很明显:长弧的能量大于短弧的能量。
高压电器中产生的电弧都是长弧,低压电器中的电弧都是短弧,因此高压电器的灭弧能量和难度远远大于低压电器。
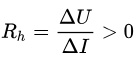
(2)电弧的负阻特性
电弧伏安特性曲线上的任意一点,电弧电阻Rh为:
当电弧电流Ih增加时,我们看到电弧电阻在减小。因此,电弧具有负阻特性。
事实上,当电弧电流增大后,输入给电弧的功率Ph=UhIh也在增加,于是弧柱的温度升高,直径变大,反而使得电弧电阻Rh减小。
(3)电弧的动态伏安特性
设想电弧稳定地在1点燃烧,它的伏安特性曲线是AB,此时的电流是I1。
我们以较快的速度将电流调整到I2,电弧的工作点首先会移到2点,然后再下降到3点;如果我们快速地将电流调整到I2,相当于
,则电弧的工作点首先会移到4点,然后再下降到3点。
为什么呢?
电弧的温度不允许突变——电弧热惯性现象。
我们已经知道,电弧是一团等离子的高温气体,它的温度在短时间内不允许突变,这叫做电弧的热惯性。
由于电弧的热惯性,当电流快速变大后,电弧电阻瞬时间不变,因为Uh=RhIh,所以电弧电压会上升,到达2点。随着电弧电阻的动态调整,最后返回到3点。
当电流急剧地从I1增大到I2后,它会到达4点,最后返回到3点。
当电流减小时,情况也类似。
结论:电弧的静态伏安特性曲线只有一条,但电弧的动态伏安特性曲线有无数条。
正因为电弧具有热惯性,它不允许电流突变,所以电弧具有一定的限流能力。估计,这一点是许多人都没有想到的。
看来,配电电器中出现的电弧,并不全是坏事呀!
现在,让我们来看看交流状态下的电弧又是怎么回事:
图的左侧,我们看到这是一个实际电路:有交流电源E,有电阻R,还有触头K。当K打开后,触头间就会出现电弧。调节交流电压值,我们就能得到交流电压下的电弧伏安特性曲线。
右图中,当电压过零后,电弧不会重燃。等到电压升到一定的幅值后,气隙被击穿,电弧开始出现。此时的电压就是U0。
气隙击穿后,随着电压不断上升,弧柱不断地变热变粗,弧柱的电阻也会下降,并进入负阻区。当Rh下降的速度等于Ih增长的速度时,Uh到达A点的最大值Ur,Ur又叫做燃弧电压;此后,Ih不断增长,当到达B点最大值后,开始减少。由于电弧存在热惯性,这时的电弧电阻Rh比相同电弧电流但处于增大状态下的电弧电阻低,所以图中BC的曲线要比AB的曲线低。
C点叫做熄弧电压Ux。从C点以后,电弧趋于熄灭。
我们来看电阻性负载的交流电弧电压uh和电弧电流ih的波形:
图中U是电压波形。
(1)当电压过零后,电弧在燃弧电压Ur下开始点燃。注意到Ur就是A点电压;电弧在熄弧电压Ux后熄灭。注意到Ux就是C点电压,
(2)电弧电流Ih在Ur和Ux的中间。
(3)从上半波熄弧到下半波燃弧中间的区域叫做零休时刻。电弧从第一半波到最后熄灭,每次过零时零休越来越长。
(4)交流电弧熄灭的条件是:零休期间,弧隙介质从离子态恢复为常态的强度Ujf,必须大于过零后的电压恢复强度Uhf。即:
。
说了这么多,我们来看一个应用。
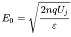
我们来设想,当交流电流过零前,若电极处于左边是阳极右边是阴极,见下图:
过零前,阳极的外表面残留着正离子构成的云,而弧隙中间属于等离子体,正负电子的数量接近均等;交流电流过零后,阳极变成阴极。由于正离子体积大质量也大,而负离子也即电子质量小它会迅速地移动,于是在新阴极的表面会残留一层正离子构成的区域。
过零后新阴极附近的电场强度E0表达式为:
这里的Uj就是新阴极近旁相对阴极的电压。
过零后,E0也在增加。要产生电弧,新阴极必须要发射电子。而电子在变冷的新阴极中,只能依靠新阴极表面的高电场发射,也即场致发射,所以要求Uj要有一定的数值。但我们已经知道,Uj被这一层正离子给限制住了。其结果使得电流过零后恢复电压被延滞,继而电弧重燃也被延滞,弧隙也获得了一定的耐压强度,这种效应叫做近阴极效应。
近阴极效应是低压电器熄灭交流电弧的主要方法,应用十分广泛。例如低压电器的灭弧栅,当电弧被切割成若干段后,在每一段中都形成了近阴极效应,再加上降温,电弧被熄灭。
近阴极效应对高压电器的长弧不起作用。
弧光区有关电弧的内容极其丰富,知识面也很广,本帖只是蜻蜓点水般地点一下而已。具体细节有待于知友们自己去阅读相关资料。
第四阶段:火花放电区
其实火花放电区也属于弧光放电区,只不过它的弧径更细,温度更高而已。我们就不去细谈它了。
说明一下:有的书籍认为辉光放电后现出现火花放电,然后再出现弧光放电,有的书籍则相反。其实它们描述的是两种不同直径的电弧表观现象而已,区别不大。因此,在新的出版物中,把火花放电和弧光放电合并为弧光放电。
本帖兼顾老的说法,知友们尽可以把火花放电区和弧光放电区合并。
二.流注理论
气体间隙的击穿过程,从流注理论来看是这样的:
(1)从阴极发射的电子,在电场的作用下向阳极运动,经过一系列碰撞,产生了大量的新电子和正负离子。
(2)由于电子运动速度快,大量地集中在前进方向的前部,而正离子则留在后部,这样就形成了一个电子和正离子构成的区域,叫做电子崩。
(3)电子崩的泵头和崩尾削弱了间隙电场分布,使得其中复合作用增强。这些复合作用放出了大量的光子,使得距离甭头不远处产生了第二个电子崩。若继续发展,又会产生第三个和更多的电子崩。
(4)若弧隙的击穿继续发展,电子崩就会连成一体,形成了一个从阴极到阳极的电离气体通道,此时间隙被击穿。这条通道叫做流注。
流注理论极好地解释的气体击穿现象,是当前描述气体电击穿的主流理论。
三.有关气体击穿的一些知识问题
知识问题:电晕、辉光、电火花、电弧、尖端放电、低气压放电和高压电弧的机理都是什么样的?它们的区别在哪里?
关于电晕、辉光、电火花、电弧我们已经说明。我们把回答的内容放在其它问题上。
什么是尖端放电?
所谓尖端放电,指的是极不均匀的电晕放电。这里所指的极不均匀,是它的一个电极为棒状,而另一个电极为板状。
(1)当棒极为正,板极为负时
在棒极附近积累了正空间电荷,在一定程度上使得紧贴棒极附近的电场被削弱,而阴极的电场则有所增强,结果使得棒极附近的强电离区域电离度被削弱,不利于流注形成,因而电晕的起始电压会降低。
(2)当棒极为负,板极为正时
阴极表面形成的电子在电场作用下向正极(板极)运动,立即进入强电场区,引起剧烈的气体电离,并由此形成电子崩。
因此,由于棒极附近的电场被加强,因此电晕的起始电压相对棒极为正极时有所增高。
什么是低气压放电和高压电弧?
这个问题正好反映了气体放电按气压变化的两个方面。
我们来看下图:
图的右上方我们看到了巴申曲线。
巴申曲线纵坐标是击穿电压,横坐标是压强P与弧隙宽度d的乘积。
我们看到,在pd的高值与低值中间某处,气体介质的击穿电压曲线有最小值。
(1)关于高气压
在一定的间距距离下,当气体压力高于该电压所对应的气压值时,间隙的击穿电压将得到提高。
原因:提高气压后,可以减小电子的平均自由行程,不利于电子积累能量,从而削弱电场电离的过程,进而提高气体的介电强度。
在提高气压的同时,一般还采用高介电强度的气体,例如六氟化硫SF6。一般地,在GIS中,六氟化硫气体的压强大约为0.7MPa(约为7个大气压)。
下图是某著名水电枢纽中的GIS开关图片:
(2)关于高真空
当气体间隙被抽成真空状态时,尽管电子的平均自由行程增加了,但由于间隙中所含气体分子太少,电场电离的次数极大地降低,不利于间隙击穿的过程发展。因此,高真空能提高间隙的击穿电压。
事实上,在真空下击穿机理已经发生了本质的变化。
我们知道,电极的表面不可能是光滑的,存在微观上的微小凸起。尤其是阴极的凸起尖端(见前面尖端放电的说明)电场强度很高,会导致强烈的场致发射。当场致发射严重时,电极表面会出现热点。若电极材料的沸点较低,就会出现金属蒸汽,最终导致间隙击穿。
注意:这里的气体介质是金属蒸汽!具体可参阅有关电接触的文档。
此外,还有微粒引发的击穿。
在实用中,一般把断路器的触头密封在真空泡内,并组装成真空断路器。真空断路器一般用在中压开关中(3到35kV)。


返回顶部
刷新页面
下到页底