采用合适大小的线模按所需匝数绕成线圈,再分别逐个线圈嵌线入定子槽内,可以一层一层的嵌线,但有碍后续嵌线,且线圈与线圈绝缘也带来操作困难;(小功率电机)通常是采用单层叠绕式嵌线,嵌线方便且线圈与线圈绝缘操作容易,线圈绕组外观呈旋形较为美观。 在重新绕制新绕组前,应依据旧绕组线圈形状和尺寸或需要变动的绕组节距来制作绕线模。绕线模尺寸做得是否合适,对电机重换绕组工作能否顺利进行起着决定性作用。新绕制线圈尺寸既不能太短也不可太长,太短将会使嵌线工作发生困难,严重时甚至使线圈无法嵌下去;过长则不仅浪费铜线还会使绕组电阻和端部漏抗增大,导致电机电气性能变坏,并且还可能因线圈端部过长碰触端盖而引起新绕组接地、短路等故障。因此,绕线模的尺寸一定要做得比较准确和正规,最好在拆除旧绕组的过程中有意选择保留一个形状比较完整的线圈,可依据线圈的尺寸制作绕线模。通常按所修电机的旧线圈尺寸做出的绕线模是较为可靠的。但是,若该电机早已经过重换绕组的大修,铁心槽中嵌置的已不是制造厂的原装绕组。
△小提示:在拆除旧绕组前应仔细察看该线圈的各部分尺寸是否合理,要酌情作出更改和调整后再制作绕线模。
如果没有形状完整的旧线圈参考,则只能通过计算来重新设计制作绕线模。在绕出第一个线圈后仍应进行试嵌,以检查线圈各部分尺寸是否符合要求。如有不合适之处则应对绕线模予以修改和调整,直至所绕线圈完全合适时才可以正式绕制全部的线圈,不然将会造成导线材料的损失。
绕线模一般由模心和夹板构成,图1所示为双层叠绕组的绕线模。从图中我们可以看出,模心是绕线模最重要的部分,它决定所绕线圈的长、短、宽、窄及全部尺寸。所以,对绕线模模心尺寸的确定应十分细心和慎重。如果自己有确定模心的实际经验,则可根据电机的绕组形式在铁心上用一根导线弯成模心样板,以它作为制作绕线模的参考。绕线模的模心尺寸如图2所示,其计算则如下所述:
模心宽度:
(1)
式中Di—定子铁心内径(mm);
Zl—定子铁心槽数;
yl—用槽数表示的节距:
hs—顶子槽高(mm)。
图2 绕线模模心各部尺寸
模心直线部分的长度:
LB=l+2d(2)
式中Z—定子铁心长度(mm);
d-线圈直线部分两端伸出铁心的长度,一般取d =5-15mm,功率大的取大值。
模心端部的长度:
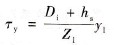
2c=kτy (3)
式中 k—系数,电机极数为2时取k=1.2-1.25,极数为4时取k:1. 25 -1.3:
τy—模心宽度。
模心厚度:
( 4)
式中di—绝缘导线直径(mm);
N—一个线圈的导线数。
绕线模的夹板尺寸则以周边高出模心10-15 mm为宜。模心制成后一般均在其轴心处倾斜地锯开,半块模心固定于上夹板而另半块则固定在下夹板,这种结构可易于脱模和取出绕好的线圈,具体结构可参见图1。绕线模一般均用干燥的硬木制作,因为它不易于加工制作。绕线模可以根据电机绕组每极相组的线圈数来做模板,由于线圈可以中间不剪断而一次连续绕成,因而就避免了线圈间许多不必要的连接,从而提高了电机运行可靠性。


返回顶部
刷新页面
下到页底