星三角
1.不考虑端线阻抗的情况

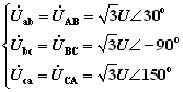
负载上相电压与线电压相等:

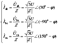
相电流为:


讨论:
若不考虑端线阻抗,则:
(1)当负载额定电压等于电源线电压时,应如何连接?
答:应三角形连接。
(2)当负载额定电压等于电源线电压的
时,应如何连接?
答:应星形连接。
三相电动机:星形接法或三角形接法;
电灯:三相四线制星形接法(必须带中线)。
2.考虑端线阻抗的情况

由对称性,得出其它两相的电压、电流。
星三角
1.不考虑端线阻抗的情况

负载上相电压与线电压相等:

相电流为:


讨论:
若不考虑端线阻抗,则:
(1)当负载额定电压等于电源线电压时,应如何连接?
答:应三角形连接。
(2)当负载额定电压等于电源线电压的
时,应如何连接?
答:应星形连接。
三相电动机:星形接法或三角形接法;
电灯:三相四线制星形接法(必须带中线)。
2.考虑端线阻抗的情况

由对称性,得出其它两相的电压、电流。