1.星形联结(Y接)
相电流:各相电压源中的电流。

星形联结(Y接)的(电源或负载):线电流等于相电流。
2.Δ接对称负载线电流和相电流的关系

三相电源对称,线电压(即负载相电压)对称。
若三相负载对称,则负载相电流也对称。

相电流对称,线电流也对称。

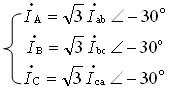
结论:对△接法的对称三相电源(负载):
(1)相电流对称,则线电流也对称。
(2)线电流大小等于相电流的倍
倍,
。
(3)线电流相位滞后对应相电流(用相电流的第一个下标字母标出)30o。

1.星形联结(Y接)
相电流:各相电压源中的电流。


若三相负载对称,则负载相电流也对称。

相电流对称,线电流也对称。

结论:对△接法的对称三相电源(负载):
(1)相电流对称,则线电流也对称。
(2)线电流大小等于相电流的倍
倍,
。
(3)线电流相位滞后对应相电流(用相电流的第一个下标字母标出)30o。
