在单位时间内电流所做的功叫做电功率;其中单位时间为秒(s),所做的功就是指电功。电功率使用符号大写的英文字母“P”表示,电功率是描述电流做功快慢程度的物理量,通常所谓用电设备容量的大小,通常都是指的电功率的大小,他表示该用电设备在单位时间内做功的能力。
如果您不太理解,那么举个例子:把电流比作水流,如果您有一次喝了一大碗水,那么喝下去的这个水的重量就是您做的电功;而您总共花了10秒喝完,那么每秒喝水的多少也就是电功率啦。
电功率计算公式
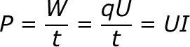
通过上面对电功率概念的基本描述以及笔者所做的比喻,很多人可能已经想到了电功率计算公式啦;我们继续拿上面的喝水的例子来说明:既然总共在10秒内喝了一大碗水,那么也就比作是10秒内做了一定量的电功,那么计算公式就显而易见了,将电功除以时间,所得的数值便是用电设备的电功率啦:

上面的计算公式中P代表电功率,他的大小取决于电压U和电流I两个量的乘积,上面公式中各个字母所代表的含义如下:
P——电功率,单位(W)瓦特
U——电压,单位(V)伏特
I——电流,单位(A)安培
q——电荷,单位(C)库伦
对导体电阻来讲,由欧姆定律I=U/R可得出电阻上消耗的电功率还可以用一下两个计算公式:
P=UI=U2/R,或者:P=I2R(因为U=RI,那么P=UI=R乘I再乘I,所有是I2R)
电功率单位
如果您注意了上面的公式中对P的注释,应该已经知道电功率这个名称使用字母P表示的,而电功率单位是用W(瓦特,简称瓦)来表示的。我们结合上面的公式来一起了解下1瓦的电功率是如何来的:
1瓦=1伏×1安,或者简写成1W=1V·A
在电工学中,常用的电功率单位还有千瓦(KW):1千瓦(KW)=1000瓦(W)=103瓦(W),此外在机械工业中常用马力来代表电功率单位哦,马力与电功率单位转换关系为:
1马力=735.49875 瓦特,或者1千瓦=1.35962162 马力;
在我们生活用电及生产中,电功常用的单位是大家熟知的“度”,1度电表示功率为1千瓦的电器使用1小时(1h)所消耗的电能,即:
1度=1千瓦·小时
好了,到这里有关电功率的一些基础知识就讲完了,相信您已经理解了吧。


返回顶部
刷新页面
下到页底