
因为电磁波在导线中传播是电磁波的一种模式
在真空中传播也是一种模式
他们都是麦克斯韦方程在特定边界条件下的解
电磁波传播的频率是方程的特征值
电磁波电场磁场的分布是方程的特征向量
这一切都逃不出麦克斯韦的智慧~
Multitasking:
导线是为了束缚电磁波的,而不是为了束缚电子。对应不同频率的电磁波,需要不同材质的波导。电磁波传播不需要依赖介质,导线的作用是控制传播方向。
Loki:
先占个坑,等过几天考完电动力学回来细说……
先简要地回答题主:
1.导线为什么能束缚电磁波?
首先,并不是任何导线都可以束缚电磁波。电磁波频率上来后一般导线根本hold不住。从波导(waveguide)方程的推导中可以发现耗散和电磁波频率的关系(见下图)。简要来理解,是因为边界条件的存在,使得电磁波在管壁间做来回反射(因此被限制住),并进而传播。

2.电磁波传播不需要介质,为什么还要导线?
诚然,电磁波的传播不同于机械波,确实无需介质(光以太假说不成立)。但是介质的存在却可以影响电磁波的传输啊!正是因为这个特性,通过合理地选用材料(金属、绝缘体均可)来制成导线,就可以在控制耗散的情况下进行高频电磁波信号的传输。也就是说,传输线的存在可以帮助进行高频信号传播。
其次,当考虑到信号在传输线的传输时,尤其是在光纤内的传播,我们特别需要考量的是介质的折射率。如果题主学过量子力学的话,应该知道折射率与态密度(DOS)相关。因此传输线不仅需要,而且必要。毕竟比起真空或是空气那些战五渣,光纤(主要成分是SiO2)蕴含的态密度大了去了。
说个题外话,这也是太阳能电池普遍采用Silicon来吸收光子的原理。
暂时想到这些,等有空再补上公式推导。
灵剑:
电磁波传播不需要介质 ≠ 电磁波不能在介质里传播
电磁波传播不需要介质 ≠ 介质不影响电磁波传播
不过严格来说,对于分布参数电路,传播电磁波的介质既包括导线,也包括导线之间的空间,比如电感里插入铁芯就可以影响电路参数,说明铁芯也是电磁波传播的介质的一部分。
=====================================================
看了一下其他的答案,我觉得还是有没有回答到的地方,就是导线的作用究竟是什么?
答:导线可以束缚电流,也就在一定程度上束缚了电动势产生的电场,但无法束缚磁场,也无法束缚磁场产生的感生电场。
导线束缚电动势产生的电场的原理在于它可以导电,也就是说靠束缚电流产生的效果。导体在电动势存在时会产生电流,电流只能沿着导体流动,电流流过有电阻的导体会产生电势差,这样电势就沿着导体被固定了,稳恒场中电场是电势的梯度,也就跟着电势被束缚了起来。
但是磁场是不受导体控制的,电流产生的磁场会沿着垂直的方向一直扩散出去。如果是交变电流产生的变化的磁场,这个磁场会继续激发出电磁波,电磁波就会传播到导体外面去。这种泄露会改变导体的阻抗特性,让传输效率降低。
为了防止这种泄露,通常的做法是用一个相反的场相互抵消,这样电磁波就跑不到外面去了,比如说双绞线,两根线上的电流相反,产生磁场相互抵消,电磁波就辐射不出去了,但这并不是导体束缚了电磁波,电磁波仍然是会在两根线的间隙中传播的。
这个要分成两种情况来讨论: 直流电和交流电
对于直流电来说,在导线两端建立电压,导线内部产生电场,电子移动引起电流,这是没有问题的。
对于电流I来说,其定义也是
在这种情况下,没有电磁波,在导体中建立的电场起到主要的传输作用。
否则,以自由电子缓慢的移动速度,假设导线有几百公里长,那么在一端激励信号,在另一端接收信号就需要很长时间,显然这是不可能的。
--------------------------------------------------------------------------------
对于交流电来说,在导线内部的电场是变化的电场,变化的电场产生变化的磁场,这就产生了电磁波。
导线其实并不能束缚电磁波,之所以在低频情况下感觉导线能够束缚住电磁波,这是因为低频情况下电磁波的频率太低, 电磁波的波长太长, 能量无法有效的辐射出去而已(当然并不是不能辐射,只不过是因为比例太小,在能量不大的情况下可以忽略).
以交流电50Hz为例,其波长是

大概是6000km的样子.
显然对于大部分家用电线而言, 其长度和交流电的波长根本不在一个数量级上, 所以基本不会有能量辐射出去.
即使对于调频广播(100MHz左右), 其波长也在3m左右, 根据天线理论也需要大概至少30cm长的天线才能有效的辐射出电磁波, 所以你可以看到广播电视台塔顶一般都会有巨大的天线用于发fu射信号(虽然主要是那个锅的大小, 但是天线本身其实也并不小)
当频率达到GHz的级别的时候(波长只有几十厘米), 电磁波的辐射其实就非常容易了,射频电路难做也是因为电路的通频带很宽,外部的高频信号很容易耦合到电路中来,非常容易受到干扰。
在射频电路设计中,为了有效地传输电磁波就需要金属波导/同轴线/微带线这种波导来导行电磁波,通过特殊设计的电场结构尽量避免电磁波的辐射,以及尽可能使非主模截止,以最大程度地引导电磁波主模传播,另一个方面的原因是在高频下导线的趋肤效应也非常严重,电磁波很难沿着导线方向进行传导(全部变成热能损耗掉了)。
以喜闻乐见的同轴线为例,这是同轴线的电场和磁场分布(来自百度百科

可以很清楚的看到,电场和磁场主要分布在两层导体之间,而不是导体内部。事实上,在频率比较高的情况下,导体内部几乎没有电场。同轴线这种特殊设计的电场结构也可以保证只要没有达到其截止频率,在其内部传输的电磁波几乎不会辐射出去。所以说,在这里电磁波主要是通过两层导体之间的介质传播的(抽成真空也不是不可以)嘛。
从某种角度来说,导线/波导的意义就是提供了边界条件。边界条件虽然是一个数学上的概念,但是直观的来看,举个例子的话,为什么金属球可以起到电磁屏蔽的作用呢?其实就可以解释成金属球给空间中的电场分布提供了一个边界条件,从而改变了空间中的电场分布。
同轴线的例子也可以看成是中间那根导线辐射出的电磁波,被外层的屏蔽层隔绝掉了(虽然其实并不是这么回事) ,屏蔽层提供的边界条件改变了单根导线的电场分布。(就好比是你在水流中插入了一根棒子, 自然水流会发生变化)
电磁波这个东西吧还有个特点,就是频率越高越容易衰减,以基站为例。2G(GSM)一般是800-900MHz,如果建一个高塔,大概可以覆盖半径2-3km的面积,而4G(LTE)一般是2.xGHz,如果在操场中央建一个高塔的话,就不见得能够覆盖到整个操场了。
PS: 如果感兴趣的话,可以看看传输线理论,超有趣的,颠覆你过去对于导线的传统认知
------------------------------------------------
最后直接回答一下这两个问题,假定题目中说的导线指的是金属导线:
1. 导线为什么能够束缚住电磁波?
导线不能束缚住电磁波。
之所以会有这样的错觉是因为:
1.0. 在直流时没有电磁波存在;
1.1. 在低频时波长相对于线路长度太长很难辐射,主要的电场与磁场分布也在导体内部,一般不会当作电磁波去考虑(超长输电线除外);
1.2. 在高频时早就辐射得不要不要的了→_→
2. 电磁波具有能量,电磁波传播不需要介质,那导线的作用是什么?
2.0. 直流情况下,需要导体提供自由电子来建立电流啊;
2.1. 低频情况下,一般等效成集总参数电路,没人把它当成电磁波来看,导线的意义是能够通过电流…
2.2. 高频情况下,大家好,我是边界条件。
这个问题个人感觉我们需要从电场和磁场的源说起
电场有两种源:①电荷②变化的磁场
磁场有两种源:①电流②变化的电场
1、在导体中传播时,导体具备了电荷和电流,那么同时具备了电场和磁场的两种源,她们就以导体为导向进行传播了
2、在空气中传播时,电磁场仅能相依为命,互相作为对方的源进行传播
第一种方式有利传播,优先选择。随后有时间时再定量分析一下。
___________________________________________
做一下详细解释:
1、电场的两种源:
①电荷:这个是学习电学中的基本概念,电场从正电荷出发,到负电荷终止。对应于Maxwell定律的高斯定理。典型应用是老式显像管中的电子加速器。
②变化的磁场:这是法拉第电磁感应定律,变化的磁场产生变化的电场对应于Maxwell定律的法拉第电磁感应公式。。典型应用就是发电机。
2、磁场的两种源:
①电流:这个就是奥斯特1820年4月发现的电流对磁针的作用,即电流的磁效应。对应于Maxwell定律的安培环路定律。典型应用是电磁铁。
②变化的电场:这个是Maxwell在整理Maxwell方程过程中做的最大贡献,引入了位移电流的概念,这样就可以套用安培环路定律。典型应用。。。(暂未想到,欢迎补充。)
一、通过导体传播时(在此只考虑横电磁波):
电场的源为电荷,电荷与电场关系(此处电场不专指电场强度,有电压就有电场):
电压V=电荷Q/(电容C)
磁场的源为电流,磁场与电流关系(同样此处磁场不专指磁场强度):
磁通量φ=电感L×电流i
电场能量= (1/2)CV^2 (V的2次方,以下同样)
磁场能量 = (1/2)Li^2
在导体中传播时,电场能量和磁场能量相互转化,因此有:
电场能量 = 磁场能量
即:
(1/2)CV^2 = (1/2)Li^2
根据以上公式,我们得到了一个很重要的结论:
V/i =(L/C)^0.5
V/i很熟悉对不对,这个在欧姆定律中是电阻,在此单位依然是欧姆,但不再是电阻了,因为在理想导线中传输是不消耗能量的。在此是理想传输线的特征阻抗。
二、在真空中传播时
电场能量= (1/2)×介电常数×电场强度的平方 = (1/2)*ε0*E^2
磁场能量 = (1/2)×磁导率×磁场强度的平方 = (1/2)*μ0*H^2
在真空中传播时,电场和磁场相互转化,能量也是相等的,即:
电场能量 = 磁场能量
(1/2)*μ0*H^2 = (1/2)*ε0*E^2
再整理一下得到:
E/H = (μ0/ε0)^0.5
我们又得到一个重大发现,这个就是真空中的电磁特征阻抗,大概是377欧姆。
三、其他说明的问题
通过导体传播和在真空中传播,是电磁波的两种模式。根据我们需要进行选择,也可以进行转化:
通过导体传播转化为到真空(或空气)中传播,就是发射天线
从真空中(或空气)转化到通过导体中传播,就是接受天线
只是我们在平时使用过程中,大多数需要限制电磁场能量在导体之间(同轴线缆、微带线、带状线等),如果设计不好,让电磁场能量泄露出去(在真空中传播),就出现电磁兼容问题了。
我想真正问题关注的是:通过导体传播时,如果我们专门设计的话,是可以保证绝大多数电磁场能量限制在两个导体之间的(如微带线)。为什么呢?
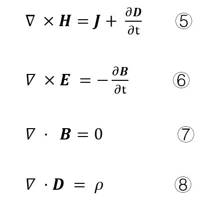
在此借用Maxwell方程的1个频域表达式:
∇×H=J(电流源)+jw*ε0*E(变化电场源) =σE+jw*ε0*E
H:磁场强度
∇×H:为磁场强度的旋度
J:电流密度
j:虚数,j的平方等于-1
w :角频率= 2πf(f为频率)
ε0:真空中介电常数,ε0=8. 85 ×10^(-12)F/ m
E:电场强度
σ:电导率
其中:J =σE为欧姆定律的微观形式
在电场强度E一定情况下:
真空中传播时,从电场强度到磁场强度的转化遵循(变化电场作为磁场源):
∇×H = jw*ε0*E
通过导体传播时,从电场强度到磁场强度的转化遵循(电流作为磁场源):
∇×H =σE
我们比较一下σ和w*ε0的大小
对于铜(20度):σ = 5.9×10^7 S/m
1KH电磁波:w*ε0 = 5.56×10^(-8) S/m
1MHz电磁波:w*ε0 = 5.56 ×10^(-5) S/m
1GHz电磁波:w*ε0 = 5.56 ×10^(-2) S/m
光的频率为10^15,此时w*ε0 = 5.56 ×10^4 S/m,此时导体已经Hold不住电磁波了。
低频时, w*ε0远远小于σ (差了N个数量级),因此在电场一定得情况下,电流作为磁场源的转化效率远远大于变化电场作为磁场源的转化效率,故导体可以束缚电磁波。(低频时,电流作为磁场的源实在是太强了,变化的电场作为磁场的源实在太挫了,不是一个数量级别的选手)
其实,再直观一点,可以将两种传播方式,类比为两个电阻的并联,在电压一定的情况下,优先选择电阻小的走电流。
知乎用户
物理,数学 | 没有人注意到我名字这么完美的对称性吗?
你做化学实验的时候用过引流棒吗?
而且传电磁波的那玩意叫波导,不是导线,导线是传电流的。他们的原理完全不同。其他答案也很多把同轴导线和波导混为一谈的。
天涯明月夜
选错专业的工科狗:
同志们好好回答不行么?所谓导线就是一个带有自由电子的边界,电磁场遇到这种边界时会与导线中的电子相互作用形成散射场,跟原来的电磁场叠加以后会形成特定的电磁场分布,达到传输电磁能量得目的。波导也一样,天线也没啥区别。
我根据评论改改,上面说的波导,天线也一样,意思是这些结构都是边界条件,除了求解出来场分布不一样,本质上没什么区别。
Patrick Zhang:
题主的问题有2个:
1)导线为什么能够束缚住电磁波?
2)电磁波具有能量,电磁波传播不需要介质,那导线的作用是什么?
这两个问题很有见地,是导线为何能导电的根本原因。
再来看三个副问题:
1)导线传递电能,是电场还是电子?
2)导线中电子的移动速度仅仅才1厘米/秒左右,电能是如何传递给负载的?
3)为何不建议用水来比喻电气现象?
这些问题可是中学生们的最爱,我们姑且来探讨一番。

坡印廷,人们对他的理论关注不多。原因是,他的理论是建立在麦克斯韦电磁理论之上的,有点高大上的感觉。不过,坡印廷理论的应用面可是极广,只不过我们不知道就是了。
我们知道,电磁波是客观存在的一种物质形式,它具有一定的能量。为了阐述能量传递情况,定义了能流密度S的概念:能流密度S的大小等于单位时间内通过垂直于能量传播方向的单位面积上的能量。S的方向指向波的传播方向。
能流密度S矢量就是坡印廷矢量。
在平面波中:

注意这里的乘号指的是矢量的叉乘,也即:
。
我们看图1:

图1中的导线半径是r,长度是L。导线中流过电流I,导线的电导率是γ。
在导线内部,电场强度为:
。
电场强度表达式中,第一个分式的分子是电流密度J,第二个分式的分子是电流I,因此第二个分式分母中出现了导线截面积。
在导线内部,磁场强度为:

现在,我们以导线的表面为闭合面来考虑,则导线所吸收的功率为:

这里的R0就是这段导线的电阻。我们看到,这里的结论与我们在中学所熟知的结论是一致的。
由此我们能看出一个重要事实:电源所提供的能量一部分作为导线的损耗,而另一部分则传递给导线末端的负载。
那么流入导线内外的能量分布又如何?我们用坡印廷矢量来计算看看结果。
首先看看坡印廷矢量的形式:

我们把导线分成内外两部分,两部分的半径分别是R1和R2,然后来做如下积分:

这说明什么?
第一:计算中完全没有涉及到电子。可见导线传递能量的主体并不是电子,而是电场。
第二:电磁能量是通过导体的表面和周围介质传播的,导线起到引导和导向作用。
第三:导线任意截面所通过的能量均相等。
这三条事实上已经回答了题主的问题。
再看副问题:
1)导线传递电能,是电场还是电子?
回答:导线传递电能依靠的是电场,不是电子。
2)导线中电子的移动速度仅仅才1厘米/秒左右,电能是如何传递给负载的?
回答:同上,再结合前面的推导可知,电能是依靠电场传递给负载的。
3)为何不建议用水来比喻电气现象?
回答:
中学生特别喜欢用水来比喻电气现象。通过上面的解释,我们发现电能的传递与水完全不同,两者没有毛关系。可见,用水来比喻电气现象是十分不妥当的。
记得上《普通物理》(我们那时不叫大学物理,叫普通物理)时,老师讲解坡印廷矢量时也谈到了电能传输,课后大家有过一次讨论,讨论题是这样的:
对于某配电系统,从变压器开始一直到众多的最终用户,中间有许多电缆和电线,电能的传输当然是通过这些电缆和电线输送的。如果此时某处的相线对地线发生短路,于是就出现了漏电。这个漏电如何用坡印廷电能传输理论解释?
当时讨论的要点在于:
第一:漏电处并不一定是导线,可能是潮湿的地下土壤,然后是地下的钢筋网,以及其它导电材料。这些材料和坡印廷矢量有何种关系?它们是如何束缚住电磁波的?
第二:从坡印廷矢量中可以隐隐约约地看到电阻的作用,并且暗示我们可以从麦克斯韦理论得到欧姆定律(欧姆定理)。那么从坡印廷电能传输理论来看漏电电流所经过之处的电阻是何种景象?
这两个问题反馈给知友们,供大家思考。必要时,我会作答。
看到评论区对于水来类比电现象,提出了许多看法。我谈谈我的个人理解:
记得在中学时代,老师的确也用水来类比电现象。但进入大学课堂后,这种类比几乎绝迹。进入职场后,用水来比喻电现象,再也听不到了。因为电现象有自己的规律,这种规律根本就无法用水来描述。
现在,我有一部分的工作任务是教书。在讲解麦克斯韦电磁力时,我会问学生们:你们还会用水来类比电磁现象吗?大家异口同声说不会,因为两者相差太远。倒是对磁通的研究会拿电流来类比,而且也有基尔霍夫第一和第二定律,以及磁路的欧姆定律等等。
我看过德国的中学物理学课本,这些课本中绝对不会出现用水来比喻电现象的文字。但其它国家就难说了。某次在ABB和一位来自印度的大胡子哥们探讨自控原理,他还是用水来形容电现象,我就故意引导他往深处探讨,几句话后他的水理论就无法继续下去了。于是他也承认,用水来比喻电现象不是很合适。
我的做法是:愿意用水来比喻电现象,就如同用零线的概念来代替三相中性线一样,尽管不合适,但已经无法纠正了。所以,愿意用就用吧,只要我自己不用就行了。
有点阿Q是不是?笑!
康让:
电磁波的传播的确不需要介质,但不表示电磁波本身不需要介质来产生啊。
双导线中每根导线上的时变电流都会单独产生时变电磁场,然后和另一根导线产生的时变电磁场进行叠加:双导线之间场强正向叠加,双导线之外场强反向抵消。所以电磁波主要沿着双导线之间在传播,看起来像是被束缚了。
其实所谓的束缚这个词,只是对数学语言的通俗化理解。换言之,我们用“束缚”这一个词就轻易的理解了一大堆复杂的数学公式。
电磁波这个词,同样也是对数学语言的通俗理解。世上哪有什么电磁波,谁看见过?只是对纯理论的通俗表达,只是对生硬的数学关系的脑补理解。只是知识传递到后来电磁波到好像成为一个独立的、客观的像水波一样的事实存在。
我们建立科学理论的目的,正是为了更好的拟合、理解这个世界。而任何理论,只有通过自然语言才能得到真正的最终的理解。所以我们才需要传导、束缚、电磁波这样的自然语言来理解理论,进而间接的理解世界。
有句话说的好:
人有时候走的太远,会忘了为何而出发。。。
LoserWu:
简单来说。。大部分的电路中的电磁场不具备在空间中传播的条件。

(原谅我直接从百度百科找图)可以看出来,电磁场要传播,电场磁场都必须无穷阶对时间可导。(特指在空间中传播,此时没有电流密度j。可是,大部分电路是直流电路,这个时候电流大小方向不变。然后请让我祭出物理系版本的欧姆定律j=γE(不要在意细节,总之直接认为电流与电场强度成正比就好,其实高中版本欧姆定律也可以推出来?)然后就发现电场恒定,自然没办法传播。。那么这个时候电路中的电场到底是怎么样的呢?

参考这张图,先不考虑那个电阻。我们来想想电池两边接上导线,这个电场是怎么建立起来的。首先电源的正负级分别有很多正电荷和负电荷啦,然后就会在空间中产生一个电场。大概是这样的

可以发现,这个时候导线里面的电子,感受到的电场都是朝一个方向的。。
那我们看看right bend那个地方。上下的电子都离rightbend远去,显然会在right bend处留下静电荷。然后导线里面每个地方的电子都以类似的方式重新分布,最后达到一个平衡状态。什么时候才能平衡呢?得达到电流处处相同才行,也就是(如果不考虑电阻)电场只沿导线,而且处处相同。不相同或者不沿导线的话,就会出现静电荷积累,这个节点的入电流和出电流就不同了。平衡之后,就变成了这个样子。

这个时候就只在导线表面存在净电荷了。。然后电场垂直于导线表面,导线内部电场为零(如果认为导线没有电阻的话。)重新再来看看之前的图:

在有电阻的地方,因为电流要和其他地方相同(不然的话会有节点存在电荷积累,不能平衡)。而电阻的电导率γ是个有限的值,所以这个时候电阻内存在与导线平行的电场。。当然,这时电阻表面的电场也不会垂直于表面了,而有一个切向分量。
现在再来回答一下问题,能量确实是通过电磁波来传递的。为什么?如果能量是通过电子的动能来直接传递的话,电阻前后的电子速度一定会改变。可是我们之前说了,电路中电流一定要相同,而电流反映的就是电子的速度(I=nAvQ),所以电子速度在电阻前后没有改变。正确的能量传递过程是,导线周围的电磁场将能量输运到电阻附近,在电阻内部产生了一个沿导线的电场,这个电场加速电子,电子获得动能,传递给电阻。电子动能前后不变,只是作为电磁场传递能量的媒介。
那这个时候导线的作用是啥?此时的电磁场不具备空间传播的条件,所以电磁场想要传播,必须让麦克斯韦方程组里面的电流密度j不为零。导线中有电流,电磁场才能依托着电流传递。
顺便,其实对于某些特别的电路,是可以产生空间传播的电磁场的。比如LC振荡电路。
导线为什么能够束缚住电磁波?
导线束缚的是电子。因为电子逃逸需要很高的能量,而导线一般电压没有达到足够高。如果电压足够高,电子就会发射出来(想想光电效应,其实是一种辅助发射)。
电磁波具有能量,电磁波传播不需要介质,那导线的作用是什么?
导线的作用就是束缚电子。
*************************************************************
导线传递能量靠电磁场,但传递的并不是电磁场,就是电子,只是靠电子之间的电磁场斥力依次推动,统计上来讲,看到了电子在某一方向上的净流动。
水管传递能量也是靠电磁场,但传递的不是电磁场,而是水分子,靠水分子之间的电磁场斥力依次推动,统计上来讲,看到了水分子在某一方向的净流动。
所以我认为张老师的回答是不正确的。
junior of HNU:

汪洋
按照费曼的说法:电磁波尝试了所有路径,发现沿着导线走“作用量路径积分”最小,就选择这条路了。
谢烟客 射频工程师 专注基站功放及DPD
无论是直流导线还是微波的各種传输结构,他们可以总称为波导。顾名思义就是导行电磁波的。要明晰一个概念,那就是无论频率高低,电磁能量都是在波导内的介质中传播,这个介质可以是空气,其他材料抑或是真空。因此,直流电路中电磁能量也是在导线和参考平面间的介质中传播。
shengeleven
补充一下我的见解。
差不多任何电磁学问题都可以归结为在给定别解条件下求解Maxwell方程。
所以导线的作用是:为Maxwell方程提供边界条件,即提供这组方程的应用场景。
上图(取自维基百科):

图中红色为电场,绿色为磁场,蓝色为Poynting矢量,即能流方向。
电源:Poynting矢量向外,所以能量是朝外传播,并不是沿着电流方向。
导线:连接电源两头的导线具有电势差,在两根导线之间产生ExH的能量传播。所以导线就相当于波导。
电阻:表面周围产生向内的能流,能量被电阻吸收发热。
总结,
1. 电磁能量不是通过导线传播,而是在电路周围的空间通过电磁场传播;导线提供Maxwell方程组的边界条件,导线的作用相当于波导。
2. 并不是动态电磁场才适用Poynting定理,静态场同样适用。
感觉看图比我说的清楚。
木夏:
咦,神奇,不是叫波导吗,难道说半年没学光学名称都变了。波导为何可以束缚光线,因为全反射。
为何要用波导,因为不可能做到发射完全平行光束,如果不给它们约束岂不是一会就发散没了。而且不给约束它也不会拐弯啊,咋传播信号。
菜瓜
导体在电磁能的传输过程中仅扮演引导者的角色,沿导体传播的电磁能实际是经导体周围的空间而不是导体内部流向负载。导体向前传输的能流集中在导线附近一有限横截面内。
摘自电磁场与电磁波教材44页(雷虹 余恬 刘立国编著)
阳洋
能束缚电磁波的导线我们一般叫做光纤......你没搞清楚电场和电磁波的区别吧,如果你想说的是电场的话,电流的速度并不是导线中电子的速度,而是电场的传播速度,也谈不上束缚。
胜勋
导线为什么能够束缚住电磁波?
错。导线无法束缚电磁波。
电磁波具有能量,电磁波传播不需要介质,那么导线的作用是什么?
其一,导线能提升传播效率!有线电视效果比天线好。这就是证据。
其二,导线能传导直流啊!
大卫德2015
张老师说的十分专业,但是个人觉得不够直观。
我认为用水理解电磁场是没有问题的。众所周知,电磁波是电磁场在空间传播时的表现,本质上为波,这与我们在池塘投块石头引起的水波的传播是相同的。在空间传播的是波,但是水分子只是做上下的振动。同理,导线中电磁场是以光速传播的,其引起的电子并不随电磁场以光速传播,只是以低速移动,从而产生损耗。
题主的问题是,电磁场不需要介质传播,但是电子的移动是需要介质的。如果没有导线,仅仅以真空做传播路径,那么电子无从移动。因此,导线的作用是为电子随电磁场运动提供路径。直观上,可以从池塘水波切入理解,虽有不同但有助理解。
知乎用户
不需要介质是一种传播方式
不同截面形状的导线是也是传播方式
甚至连绝缘体(例如光纤)也是一种传播方式
就像虽然你可以走路,但是仍然可以借助不同的交通工具。而且大多时候你会倾向于使用更省力的交通工具。导线的情况就像你被扔在一条高速公路上,不允许走路,只能乘坐汽车(导线)离开,然而汽车有不同的型号(不同的导线模式)。
遇到忽然刹车、加速、转弯或者路面不平整还能把你甩出车去。成为辐射。
rylc:
看到这么多专业人士给出的答案居然是这样我也震惊了。
如果题主说的是光纤,那么是因为全反射原理,很少损失能量所以能一直传递。
如果说的是普通电缆,那么电源之间产生的是电场,但只有导线里的电子才能在电场中(而不是因为电磁场)大量自由自动,所以产生了电流。周围的空气绝缘度很高,很难有自由电子,所以没有电流。电流本质是电子定向移动,不是电磁场,更不是电磁波,虽然它能产生电磁场。
电场产生磁场,磁场也会产生电场,所以叫电磁场。变化的电场引起变化的磁场,而变化的磁场又能产生变化的电场,如此反复。如果变化幅度合适(比如正弦变化),那么就能产生可以持续传播的电磁波。然而这个和刚才导线里的事情没什么太大关系。
电磁场,电磁波,一个是场,一个是波,场的变化会产生波。
曹锴源
因为电磁波到金属里就会快速衰减,所以没办法穿透金属,当然导体都可以,像水和土壤什么的,另外电磁波的衰减有很多种,也不一定非要金属
导线,顾名思义,就是引导电磁波传播的,比如波导和同轴线,你去看下内部场分布就明白了
小插头理工男
传输线的作用就是起到边界条件,使电磁波沿着传输线横截面上形成一系列(驻)波模,有基模和各高次模,能量当然都集中在基模里啦,所以宏观看来电磁波就沿着传输线传播了
LX2017
谁说导线能束缚电磁波的?这是胡扯好么。
电流在导线中传输会有电磁波泄漏,传输的频率越高泄漏越严重。
电磁波确实在真空中就可以传输,但导线必不可少。因为它给电磁波提供了一个低阻通道。电磁波频率越低这个通道就越重要。


返回顶部
刷新页面
下到页底